0  355450  355458  355464  355468  355474  355476  355480  355486  355488  355494  355500  355504  355506  355510  355516  355518  355524  355528  355530  355534  355536  355540  355542  355544  355545  355546  355548  355549  355550  355552  355554  355558  355560  355564  355566  355570  355576  355578  355584  355588  355590  355594  355600  355606  355608  355614  355618  355620  355626  355630  355636  355644  447090 

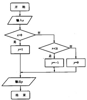
6、(三明市三校联考)如图所示的程序框图,若输入,则输出的值为    

答案-1

试题详情

5、(安庆市四校元旦联考)若执行右面的程序

图的算法,则输出的k的值为­­­­­   

答案 10

试题详情

4、(2009金陵中学三模)下列伪代码输出的结果是       

答案17

试题详情

3、(2009江宁高级中学3月联考)某程序的伪代码

如图所示,则程序运行后的输出结果为    

答案 16

试题详情

2.(辽宁省抚顺一中高三数学上学期第一次月考)

右图的程序框图,输出的结果是

A  y=    B  y= 

C  y=    D  y=

答案:D.

试题详情

1.(辽宁省抚顺一中高三数学上学期第一次月考)

右图给出的是计算

值的一个程序框图,判断其中框内应填入

的条件是  

A.  i>10     B.  i<10

C.  i>20     D.  i<20

答案:A.

试题详情

2010年联考题

试题详情

6、(2008山东13)执行右边的程序框图6,若p=0.8,

则输出的n   .

答案  4

试题详情

4、(2007海南文、理5)如果执行下面的程序框图,那么输出的( )

A.2450   B.2500       C.2550           D.2652

 答案 C

试题详情


同步练习册答案