0  355455  355463  355469  355473  355479  355481  355485  355491  355493  355499  355505  355509  355511  355515  355521  355523  355529  355533  355535  355539  355541  355545  355547  355549  355550  355551  355553  355554  355555  355557  355559  355563  355565  355569  355571  355575  355581  355583  355589  355593  355595  355599  355605  355611  355613  355619  355623  355625  355631  355635  355641  355649  447090 

3.(湖北卷文19)已知某地今年年初拥有居民住房的总面积为a(单位:m2),其中有部分旧住房需要拆除。当地有关部门决定每年以当年年初住房面积的10%建设新住房,同事也拆除面积为b(单位:m2)的旧住房。

(Ⅰ)分别写出第一年末和第二年末的实际住房面积的表达式:

(Ⅱ)如果第五年末该地的住房面积正好比今年年初的住房面积增加了30%,则每年拆除的旧住房面积b是多少?(计算时取1.15=1.6)

试题详情

2.(福建卷文17)数列{} 中,前n项和满足- (n).

  ( I ) 求数列{}的通项公式以及前n项和

  (II)若S1, t ( S1+S2 ), 3( S2+S3 ) 成等差数列,求实数t的值。

试题详情

1.(安徽卷文21)设是坐标平面上的一列圆,它们的圆心都在轴的正半轴上,且都与直线相切,对每一个正整数,圆都与圆相互外切,以表示的半径,已知为递增数列.

(Ⅰ)证明:为等比数列;

(Ⅱ)设,求数列的前项和.

[命题意图]本题考查等比列的基本知识,利用错位相减法求和等基本方法,考察抽象概括能力以及推理论证能力.

[解题指导](1)求直线倾斜角的正弦,设的圆心为,得,同理得,结合两圆相切得圆心距与半径间的关系,得两圆半径之间的关系,即的关系,证明为等比数列;(2)利用(1)的结论求的通项公式,代入数列,然后用错位相减法求和.

[方法技巧]对于数列与几何图形相结合的问题,通常利用几何知识,并结合图形,得出关于数列相邻项之间的关系,然后根据这个递推关系,结合所求内容变形,得出通项公式或其他所求结论.对于数列求和问题,若数列的通项公式由等差与等比数列的积构成的数列时,通常是利用前n项和乘以公比,然后错位相减解决.

试题详情

1.(辽宁卷理16)已知数列满足的最小值为__________.

(三)解答题(共14题)

试题详情

2.(江西卷理5)等比数列中,=4,函数,则(  )

A.      B.        C.         D.

[答案]C

[解析]考查多项式函数的导数公式,重点考查学生创新意识,综合与灵活地应用所学的数学知识、思想和方法。考虑到求导中,含有x项均取0,则只与函数的一次项有关;得:

试题详情

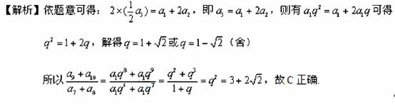
1.(湖北卷文7)已知等比数列{}中,各项都是正数,且成等差数列,则

A.       B.        C.      D

[答案]C

试题详情

7、(2008上海市浦东新区第一学期期末质量抽测)

某工程的工序流程如图所示. 若该工程总时数

为9天,则工序d的天数x最大为__________.

答案 4

试题详情

6、(2008江苏省姜堰中学阶段性考试)

若执行右面的程序图的算法,

则输出的p=_______

答案  2550

试题详情

5、(2008江苏省省阜中高三第三次调研考试数学(文科)试题)

  如图给出的是计算的值的一个程序框图,

其中判断框内应填入的条件是        .

答案   

试题详情

4、(2008山东省潍坊市高三教学质量检测)

  如图所示的程序框图输出的结果是      (   )

A.   B.  C.  D.

答案  C

试题详情


同步练习册答案