0  355448  355456  355462  355466  355472  355474  355478  355484  355486  355492  355498  355502  355504  355508  355514  355516  355522  355526  355528  355532  355534  355538  355540  355542  355543  355544  355546  355547  355548  355550  355552  355556  355558  355562  355564  355568  355574  355576  355582  355586  355588  355592  355598  355604  355606  355612  355616  355618  355624  355628  355634  355642  447090 

2、(2009辽宁卷文)某店一个月的收入和支出总共记录了 N个数据 

,。。。,其中收入记为正数,支出记为负数。该店用右

边的程序框图计算月总收入S和月净盈利V,那么在图中空白的判断框和处理框中,应分别填入

下列四个选项中的

A.A>0,V=S-T

B. A<0,V=S-T

C. A>0, V=S+T

D.A<0, V=S+T    

[解析]月总收入为S,因此A>0时归入S,判断框内填A>0

  支出T为负数,因此月盈利V=S+T

答案  C

试题详情

1.(2009浙江卷理)某程序框图如图所示,该程序运行后输出的的  

值是               (   )

A.    B.      C.     D.

[解析]对于,而对于,则 

,后面是,不 

符合条件时输出的

答案 A

试题详情

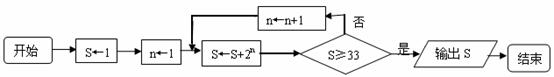
9.(2010江苏卷)7、右图是一个算法的流程图,则输出S的值是_____________

[解析]考查流程图理解。输出

2009年高考题

试题详情

8.(2010安徽理)14、如图所示,程序框图(算法流程图)的输出值________。

[答案]12

[解析]

程序运行如下:

,

输出12。

[规律总结]这类问题,通常由开始一步一步运行,根据判断条件,要么几步后就会输出结果,要么就会出现规律,如周期性,等差或等比数列型.

试题详情

7.(2010湖南理)12.图2是求

的值的程序框图,则正整数    

试题详情

第五()步:,输出

6.(2010山东理)(13)执行右图所示的程序框图,若输入,则输出的值为      

[答案]

[解析]当x=10时,y=,此时|y-x|=6;

当x=4时,y=,此时|y-x|=3;当x=1时,y=,此时|y-x|=

当x=时,y=,此时|y-x|=,故输出y的值为

[命题意图]本题考查程序框图的基础知识,考查了同学们的试图能力。

试题详情

5.(2010广东文)11.某城市缺水问题比较突出,为了制定节水管

理办法,对全市居民某年的月均用水量进行了

抽样调查,其中4位居民的月均用水量分别为

(单位:吨)。根据图2所示的程序框图,若分

别为1,1.5,1.5,2,则输出的结果   .

试题详情

4.(2010广东理)13.某城市缺水问题比较突出,为了制定节水管理办法,对全市居民某年的月均用水量进行了抽样调查,其中n位居民的月均用水量分别为x1…xn(单位:吨),根据图2所示的程序框图,若n=2,且x1x2 分别为1,2,则输出地结果s为    .

[答案]

试题详情

3.(2010北京文)(9)已知函数右图表示的是给定x的值,求其对应的函数值y的程序框图,

①处应填写      ;②处应填写     

答案:

试题详情


同步练习册答案