0  357101  357109  357115  357119  357125  357127  357131  357137  357139  357145  357151  357155  357157  357161  357167  357169  357175  357179  357181  357185  357187  357191  357193  357195  357196  357197  357199  357200  357201  357203  357205  357209  357211  357215  357217  357221  357227  357229  357235  357239  357241  357245  357251  357257  357259  357265  357269  357271  357277  357281  357287  357295  447090 

33.(14分)

材料一:贝克莱认为,“存在就是被感知”,事物是由人的各种感觉构成的。黑格尔认为,整个世界是“绝对观念”的“外化”和产物。

材料二:我国北宋哲学家张载提出了以“气”为核心的宇宙结构说。他认为世界是由两部分构成的,一部分是看得见的万物,一部分是看不见的,而两部分都是由“气”组成的。

  (1)材料一两位哲学家的说法分别属于什么观点?二者有什么共同点?(4分)

  (2)材料二中体现了什么观点?这一观点有何局限性?(4分)

试题详情

32.2010年1月30日,国务院公布“新拆迁条例”征求意见稿,即《国有土地上房屋征收与补偿条例(征求意见稿)》在全社会引起巨大反响。“新拆迁条例”在许多方面有所调整:

 
新拆迁条例(征求意见稿)
旧拆迁条例
名称变化
《国有土地上房屋征收与补偿条例》
《城市房屋拆迁管理条例》
部分内容变化
强制拆迁
强行拆迁
为公共利益方可拆迁
没有界定公共利益拆迁
明确规定先补偿,后拆迁
没有具体规定补偿程序
明确禁止暴力征收,禁止断水、断电、断气
没有禁止暴力征收

我国公民参与政治生活,依法行使政治权利,履行政治性义务,要遵循哪些基本原则?(8分)

试题详情

31.2010年4月14日,青海省玉树县发生7.1级地震,造成了大量的人员伤亡和财产损失。地震后,党中央国务院第一时间发出了全国动员令,提出了“举全国之力抗震救灾”、“人民群众的生命高于一切”。中共中央政治局常务委员会召开紧急会议,全面和进一步部署全国抗震救灾工作。会议号召,全党和全国军民要更加紧密地团结起来,一切为了灾区,全力支援灾区,以实际行动为抗震救灾贡献力量。同时,制定了相应的法律法规保证制度救灾工作的顺利进行。

  (1)运用《政治生活》有关知识,说明在抗震救灾是如何体现党的执政方式的?(10分)

  (2)这次玉树大地震中,众多校舍倒塌是一个不容回避的问题,请你设计两条有关校园安全的警示语。(4分)

试题详情

57.读“我国西部部分地区图”,回答

问题(9分)

(1)写出图中下列字母代表的城市名称。

A.______,B.西宁,C格尔木,

D.______。(2分)

(2)青藏高原上冻土的形成,是因为________。(1分)

A.太阳辐射弱,气温低   

B.海拔高,气温低

C.冰川影响大     

D.纬度高,气温低

  (3)目前西藏的现代运输方式主要有______运输和航空运输两种。之所以投资200多亿元修建青藏铁路,是因为该种运输方式____________________________,且连续性强。(2分)

  (4)简述建设青藏铁路的优势区位因素。(4分)

自然因素:_________________________________________________________。

技术因素:_________________________________________________________。

经济因素:_________________________________________________________。

社会因素:_________________________________________________________。

试题详情

56.1999年到2004年,珠江三角洲地区(包括香港.澳门)印刷业出现迅速增长,2004年珠江三角洲地区印刷能力已经超过美国东北部。读珠江三角洲地区印刷工业和造纸工业分布图,回答问题。(7分)

  (1)珠江三角洲地区印刷业迅速发展的区位优势有哪些? (2分)

(2)珠江三角洲地区造纸原料丰富,农业生产中的       和工业生产的废弃物

       都可作为造纸的原料,当地发展造纸工业在促进农民增收和解决农村富余劳力就业有一定积极意义。(2分)

  (3)从可持续发展的角度看,珠江三角洲地区在发展造纸业时,需要注意哪些问题 ? (3分)

试题详情

55.读下面两幅图和一段材料,回答下列问题:(共7分)

资料:水稻喜水.热,在生长季节需水量很大,要求田地平整.灌溉方便,与其他农业类型相比,水稻种植业的生产过程复杂,劳动、强度失,需要投入大量劳动来精耕细作。水稻单产很高.

(1)图一中字母表示不同的农业地域类型,其中     是水稻种植业,     是商品谷物农业,    是热带迁移农业,      是混合农业(填字每)。(4分)

(2)读图二,亚洲水稻种植业的主要分布区是:(   ) (1分)

A.东亚      B.东南亚      C.南亚      D.西亚

(3)亚洲水稻种植业分布区对水稻生产威胁很大的气象灾害是       ,原因是降水季节变化大,年际变化大,应采取的措施是            。(2分)

试题详情

54.读下图,回答下列问题:( 5分)

   

(1)图A为___________式,图B为___________式。(2分)

(2)中小城市大多采用__________图中的布局形式,这种形式的特点是____________。优点是____________________。(3分)

试题详情

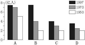
53.读“1950-1997年部分大洲人口增长图”和“1997年部分大洲人口再生产表”,回答下列问题。(6分)

1997年部分大洲人口再生产表

大洲
出生率(%)
死亡率(%)
自然增长率(%)
E
4.0
1.4
2.6
F
1.0
1.2
-0.2
G
2.5
0.7
1.8
H
1.5
0.9
0.6

  (1)将图表中的字母填入相应的大洲名称后面。非洲______、_____,北美______、______,欧洲______、______,拉美______、______。(1分)

(2)由图可知,近几十年来,国家人口增长很快,这是因为_______________________的缘故。(1分)

(3)E洲的人口问题主要是__________,应采取的对策是____________________。(2分)

(4)F洲的人口问题主要是__________,应采取的对策是____________________。(2分)

试题详情

52.右图为我国南方某地区简图,比例尺为1:2000000,据此回答下列问题(9分)

  (1)请分别说明甲、乙两处的河流特征。(3分)

  (2)假设此河夏季常发生洪涝,试说明甲地发生洪涝的原因,并提出甲地可采取哪些措施来减少洪涝灾害。(4分)

  (3)判断图中A区的地形,并说明其在防洪方面的作用。(2分) 

试题详情

51.图16中O为南极点,MA为晨昏线,M为晨昏线与纬线(70°)相切的切点,且与经线B相交,图中斜线部分表示与全球其它地区日期不同的范围,读后回答:(7分)

  (1)太阳直射点的坐标是     。(2分)

  (2)武汉某区(114.5°E,30.5°N)正午太阳

高度角是:           

地方时是        分。(3分)

  (3)此时控制武汉的气压中心应为     压,

气候特征是       。(2分) 

试题详情


同步练习册答案