0  357285  357293  357299  357303  357309  357311  357315  357321  357323  357329  357335  357339  357341  357345  357351  357353  357359  357363  357365  357369  357371  357375  357377  357379  357380  357381  357383  357384  357385  357387  357389  357393  357395  357399  357401  357405  357411  357413  357419  357423  357425  357429  357435  357441  357443  357449  357453  357455  357461  357465  357471  357479  447090 

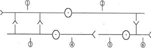
34.(14分)右图是突触模式图。请据图回答:( [   ]内填序号)

(1) ①是__________突,其末端膨大而成的杯状结构叫突出小体。

(2) 突触由[  ]               、[  ]       ____________三部分构成。

(3) ③的名称是__________,它的形成与__________

(细胞器)有关。③中所含的化学物质称为_____________。

(4) 右图中神经兴奋传递的方向是向__________(左/右),因为                     

 (5) 为神经兴奋的传导提供能量的细胞器为[   ] __________。

(6)下图示三个神经元及其联系,其中      表示从树突到细胞体再到轴突末梢。刺激②点,能发生兴奋的有__            

(7)缩手反射属于      反射

试题详情

33.下面为一测定叶片光合作用强度装置的示意图,其中叶室为透明玻璃材料制成。装置运行后,仪器气路管道中的气体流速满足正常测定的需求。据图回答相关问题:

(1)叶片的叶肉细胞叶绿体内进行的光合作用总反应式为:(要求标出氧气的来源)__________。其中参与光反应的四种反应物是①____②____③_____④_____。

(2)若采用一台精密酸度计作为CO2分析仪,进行叶室内CO2含量分析,则随着照在叶室上光照强度的增加(适宜范围内),仪表的PH将会变_____。

(3)若采用红外线CO2分析仪测定叶室内的CO2含量变化,则随着照在叶室上的光照强度的减弱,分析仪中的红外线被吸收的量将___。

(4)将一株植物置于密闭的容器中,用红外测量仪进行测量,测量时间均为1小时,测定的条件和结果如右表(数据均为标准状态下测得,单位mL)对上述结果仔细分析后,回答下列问题:

若一天有10小时充分光照,其余时间在黑暗下度过,如果光照时温度为25℃,黑暗时温度为15℃,则一昼夜积累葡萄糖      g。.

试题详情

32.(12分)下图表示某地区农业生态系统的结构模式图。请据图回答:

(1)人们通常将大豆和玉米实施套种,大豆和玉米之间的关系为       。农田中经常发生虫害,若调查该农田某种害虫虫卵的密度应采用的方法是      

(2)秸秆在沼气池中处理成沼渣后肥效提高,这是因为      

(3)为了提高蔬菜产量,人们通常将蘑菇房与蔬菜大棚相通,原因是       

(4)该生态系统充分利用了废弃物中能量,形成“无废弃物农业”,遵循了生态工程的

         原理。

(5)假设该农场将生产玉米的1/3作为饲料养鸡,2/3供人食用,生产出的鸡供人食用。现调整为2/3的玉米养鸡,1/3供人食用,生产出的鸡仍供人食用。理论上,该农场供养的人数将         。(增加、减少)

试题详情

31.已知番茄的抗病与感病、红果与黄果、多室与少室这三对相对性状各受一对等位基因的控制,抗病性用A、a表示,果色用B、b表示、室数用D、d表示。为了确定每对性状的显、隐性,以及它们的遗传是否符合自由组合定律,现选用表现型为感病红果多室和______________两个纯合亲本进行杂交,如果F1表现抗病红果少室,则可确定每对性状的显、隐性,并可确定以上两个亲本的基因型为______________和_______________。将F1自交得到F2,如果F2的表现型有_______种,且它们的比例为____________________________,则这三对性状的遗传符合自由组合规律。

试题详情

30.(13分)硫酸铵是一种常用的铵态氮肥。下表是硫酸铵化肥品质的主要指标。

指标
项目
优等品
一等品
合格品
外观
白色结晶,无可见机械杂质
无可见机械杂质
氮(N)含量
≥21.0%
≥21.0%
≥20. 5%

某化学研究性学习小组为本地农业生产服务,对某农用品商店出售的一等品硫酸铵化肥的品质进行探究。

[观察外观]

该硫酸铵化肥无可见机械杂质。

[实验探究]

按右图所示装置进行实验。

(1)烧瓶内发生反应的离子方程式为:      烧杯中盛放的试剂最好是       (填“浓硫酸”、“稀硫酸”或“水”)

(2)实验过程中,需往烧瓶中加入足量浓氢氧化钠溶液并充分加热的原因

        

(3)[交流讨论]

甲同学:根据此实验测得的数据,计算硫酸铵化肥的含氮量可能偏高,因为实验装置中存在一个明显缺陷是:                     

 乙同学:实验装置中还存在另一个明显缺陷是           

经过大家充分讨论一致认为:针对甲、乙两位同学指出的实验装置中存在的明显缺陷,需改进实验装置,重新进行实验

(4)[探究结论]

称取13.0 g硫酸铵化肥样品,用改进后的实验装置重新进行实验,测得实验后B装置增重3.4 g。则该化肥为        (填优等品,一等品或合格品)

试题详情

29.(16分) 工业上用甲苯生产对羟基苯甲酸乙酯D,其生产流程如下图:

请回答下列问题:

(1)写出有机物A的结构简式______________,D的分子式_____________。

(2)反应②的反应类型__________,反应④的反应类型_________。

(3)反应③、⑤的化学方程式:

反应③_______________________________________________;

反应⑤_______________________________________________。

(4)在合成线路中,设计第③、⑥两步反应的目的是________________________。

试题详情

28.(14分) 已知A、D、E、F是中学化学中的常见单质,B、C、X是氧化物,且B的式量是232。其转化关系如图所示:

请回答下列问题:

(1)A是___________,E是___________。(填化学式)

(2)组成D单质的元素在周期表中的位置____________,X的结构式为___________。

(3)写出A+B→C+D的化学方程式是___________________________________。

(4)C电解时,每生成1 mol A同时生成_________mol E。

试题详情

26. (20分)如图所示,在空心三棱柱CDF以外足够大的空间中,充满着磁感应强度为B的匀强磁场。三棱柱的轴线与磁场平行,截面边长为L,三棱柱用绝缘薄板材料制成,其内部有平行于CD侧面的金属板P、Q,两金属板间的距离为d,P板带正电,Q板带负电,Q板中心有一小孔,P板上与小孔正对的位置有一个粒子源S,从S处可以发出初速度为0、带电量为+q、质量为m的粒子,这些粒子与三棱柱侧面碰撞时无能量损失。试求:

  (1)为使从S点发出的粒子最终又回到S点,P、Q之间的电压U应满足什么条件?(Q与CD之间距离不计)

  (2)粒子从S点出发又回到S点的最短时间是多少?

27(17分)某固体物质是由NaOH、AlCl3、K2SO4、CaCO3、Ba(NO3)2 中的几种均匀混合而成,取样品进行如下实验(部分产物略去):

(1)Z的结构式是          

(2)在实验②中观察到的现象是“沉淀部分溶解”。为进一步确定X的组成,向实验②后的溶液中滴加过量的氨水,有沉淀生成,写出生成沉淀的离子反应方程式为                   ,则沉淀X含有的物质的化学式为          

(3)取滤液Y,测得其pH > 7,向其中滴入硫酸钠溶液,未观察到任何现象,则滤液Y中一定含有的含氧酸根离子是(用离子符号表示)           由此推测“将过量的气体Z通入滤液Y中”的实验现象是                          

(4)上述推断可见,实验①中能反应的物质之间的物质的量的比例关系为(用n(A)/n(B) 形式表示)                    、                   

试题详情

25.(18分)“嫦娥一号”探月卫星的成功发射,实现了中华民族千年奔月的梦想。假若我国的航天员登上某一星球并在该星球表面上做了如下图所示的力学实验:让质量为m=1.0kg的小滑块以v0=1m/s的初速度从倾角为53°的斜面AB的顶点A滑下,到达B点后恰好能沿倾角为37°的斜面到达C点。不计滑过B点时的机械能损失,滑块与斜面间的动摩擦因数均为,测得AC两点离B点所在水平面的高度分别为h1=1.2m,h2=0.5m。已知sin37°=0.6,cos37°=0.8,不计该星球的自转以及其他星球对它的作用。

(1)求该星球表面的重力加速度

(2)若测得该星球的半径为m,宇航员要在该星球上发射一颗探测器绕其做匀速圆周运动,则探测器运行的最大速度为多大?

试题详情

24、(16分)猎狗能以最大速度持续地奔跑,野兔只能以最大速度的速度持续奔跑。一只野兔在离洞窟处的草地上玩耍,被猎狗发现后猎狗以最大速度朝野兔追来。兔子发现猎狗时,与猎狗相距,兔子立即跑向洞窟。设猎狗、野兔、洞窟总在同一直线上,求野兔的加速度至少要多大才能保证安全回到洞窟。

试题详情


同步练习册答案