0  362073  362081  362087  362091  362097  362099  362103  362109  362111  362117  362123  362127  362129  362133  362139  362141  362147  362151  362153  362157  362159  362163  362165  362167  362168  362169  362171  362172  362173  362175  362177  362181  362183  362187  362189  362193  362199  362201  362207  362211  362213  362217  362223  362229  362231  362237  362241  362243  362249  362253  362259  362267  447090 

9、已知满足,记目标函数的最大值为,最小值为

A.1     B.2      C.7    D.8

试题详情

8、对于非零向量,定义运算“#”:,其中的夹角.有两两不共线的三个向量,下列结论:①若,则;②;③若,则;④.其中正确的结论个数有

A.1个    B.2个    C.3个    D.4个 

试题详情

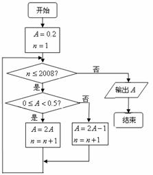
7、已知某程序框图如图所示,则该程序运行后输出的结果为  

A.        B.   

C.        D. 

试题详情

6、下列命题中是假命题的是

A.

B.

C.上递减

D.都不是偶函数

试题详情

5、已知函数的部分图象如图所示,则函数的解析式为

A.

B.

C.     

D.

试题详情

4、已知两个平面,直线,则“”是“直线”的

A.充分不必要条件          B.必要不充分条件

C.充要条件           D.既不充分也不必要条件

试题详情

3、已知定义在复数集上的函数满足,则等于

A.       B.       C.        D.

试题详情

2、某大型超市销售的乳类商品有四种:液态奶、酸奶、婴幼儿奶粉、成人奶粉,且液态奶、酸奶、婴幼儿奶粉、成人奶粉分别有40种、10种、30种、20种不同的品牌,现从中抽取一个容量为20的样本进行三聚氰胺安全检测.若采用分层抽样的方法抽取样本,则抽取的酸奶与成人奶粉品牌数之和是

A.7    B.6    C.5    D.4

试题详情

1、已知全集,集合,则

A.   B.   C.  D.

试题详情

常言说,一把钥匙开一把锁,人家的钥匙开不了自家的门。在感受快乐、与人沟通、探索奥秘、克服困难、实现理想等过程中,人们终究能找到适合自己的途径和方式。相信吧总有一把钥匙属于自己。

请以“总有一把钥匙属于自己”为题写一篇议论文或记叙文,不少于800字。

试题详情


同步练习册答案