0  363385  363393  363399  363403  363409  363411  363415  363421  363423  363429  363435  363439  363441  363445  363451  363453  363459  363463  363465  363469  363471  363475  363477  363479  363480  363481  363483  363484  363485  363487  363489  363493  363495  363499  363501  363505  363511  363513  363519  363523  363525  363529  363535  363541  363543  363549  363553  363555  363561  363565  363571  363579  447090 

5.(09安徽理科基础22)石墨烯是由碳原子构成的单层片状结构的新材料(结构示意图如下),可由石墨剥离而成,具有极好的应用前景。下列说法正确的是         (   )    

A.石墨烯与石墨互为同位素

B.0.12g石墨烯中含有6.02*1022个碳原子

C.石墨烯是一种有机物

D.石墨烯中的碳原子间以共价键结合

答案  D

解析  同位素的研究对象是原子,A选项错误;0.12g石墨烯的物质的量为0.01mol,所含碳原子个数为0.01NA,B选项错误;有机物一般含有碳、氢元素,C选项错误;由图示可知,石墨烯中碳原子间均为共价键结合,D选项正确。

试题详情

4. (09广东理科基础22)下列关于硅单质及其化合物的说法正确的是     (   )     

   ①硅是构成一些岩石和矿物的基本元素

  ②水泥、玻璃、水晶饰物都是硅酸盐制品

  ③高纯度的硅单质广泛用于制作光导纤维

   ④陶瓷是人类应用很早的硅酸盐材料

   A.①②         B.②③       C.①④         D.③④

答案  A

解析  光导纤维的成分是SiO2,③错;陶瓷的成分是SiO2,而不属于硅酸盐,④错。故A项正确。

试题详情

3.(08年上海化学·22)在石灰窑中烧制生石灰,1 molCaCO3完全分解所需要的能量,可燃烧0.453 mol碳来提供。设空气中O2体积分数为0.21,N2为0.79,则石灰窑产生的气体中CO2的体积分数可能是                          (   )

A.0.43          B.0.46           C.0.49           D.0.52

答案:AB

试题详情

2. (2007年高考海南化学卷,硅)下列物质中,不含有硅酸盐的是          (   )

A.水玻璃     B.硅芯片     C.黏土    D.普通水泥

答案:B。

试题详情

1. (2007年高考理综上海卷,碳族)二氧化碳的过量排放,严重影响人类的自下而上环境,处理和利用二氧化碳是全球关注的重大问题。回答以下(1)-(6)题。

(1)大气中二氧化碳增加的原因有_______________________________、________________________________等。

答案 :绿色植物减少、汽车排放尾气、森林大火、工厂排放大量二氧化碳。

(2)大气中二氧化碳增加,影响植物的生长,例如水果越来越大。这提示我们:随着大气中二氧化碳含量升高                            (   )

A.植物中的有机物含量降低   B.植物的生长速率降低

C.植物光合作用减弱      D.植物光合作用增强

答案:D

(3)钟乳石和石笋的主要成分是碳酸钙。随着旅游人数的增加,潮湿溶洞中的钟乳石和石笋受到二氧化碳侵蚀,其化学方程式为:______________________________________。

答案:CaCO3+CO2+H2O = Ca(HCO3)2

(4)某学生提出一个修复溶洞底部受损石笋的研究方案,由以下五步组成,正确的实验步骤依次是______________。

①将盛有碱溶液的容器置于石笋的上部; ②配制一定浓度的碱溶液; ③选择合适的碱;④调节碱溶液下滴的速度; ⑤观察石笋表面复原情况

答案:③②①⑤④。

(5)合理利用二氧化碳,可以提请生活质量,促进工业发展。

(1)在常压下,-78℃时,二氧化碳气体凝结成固态二氧化碳,俗称干冰。某学生买回一盒冰淇淋月饼,盒里有很多作为致冷剂的碎干冰。下列关于干冰处理的正确做法是  (   )

A.将干冰放入冰箱       B.让干冰在通风处自然升华

C.直接将干冰倒入下水道    D.用手取干冰扔入废物箱

(2)在采煤工业上,把干冰与炸药放在一起,既能增强爆炸威力,又能防止火灾。能增强爆炸威力的原因是_____________________________________________________________________________;能防止火灾的原因是______________________________________________________________________。

(3)使用传统催化剂,使二氧化碳与某些有机物反应可以生成塑料,但反应时间长。目前诞生的纳米级催化剂增加了催化剂的表面积,提高了_________________。使用这种塑料能减少白色污染,因为它在微生物作用下,可以实现100%的___________________。

答案:(1)B。  (2)炸药爆炸时干冰立即气化,产生大量的二氧化碳气体,气体膨胀,增强爆炸威力;  大量二氧化碳气体隔绝空气,阻止煤或煤层中可燃性气体的燃烧。  (3)反应速率;  降解或分解。

(6)目前,关于二氧化碳是否为大气污染有不同的观点。认为“二氧化碳不是大气污染物”的理由是                                (   )

①二氧化碳是重要的化工原料;②二氧化碳是植物光合作用的必需原料;③二氧化碳是无色、无味、无毒的气体;④除二氧化碳外,甲烷、一氧化二氮也是温室气体

A.①②    B.②③     C.③④     D.①④

答案:B。

试题详情

2.硅及其化合物的知识网络

⑤几种同素异形体:碳:金刚石、石墨、C60、C70等;硅:晶体硅,无定形硅
2.碳
在常温下碳很稳定,只在高温下能发生反应,通常表现为还原性。
①燃烧反应
②与某些氧化物的反应:C+CO22CO;C+2CuOCO2↑+2Cu;
C+H2OCO+H2O(CO、H2的混合气体叫水煤气);
2C+SiO2Si+2CO↑
③与氧化性酸反应:C+2H2SO4(浓)CO2↑+2SO2↑+2H2O;
C+4HNO3(浓)CO2↑+4NO2↑+2H2O
3.CO
不溶于水,有毒(CO和血红蛋白结合,使血红蛋白无法和O2结合,而使细胞缺氧引起中毒),但由于CO无色无味因此具有更大的危险性。
①可燃性
②还原性:CO+CuOCO2+Cu,CO+H2O(g)CO2+H2O
4.CO2
直线型(O=C=O)非极性分子,无色能溶于水,密度大于空气,可倾倒,易液化。固态CO2俗称干冰,能升华,常用于人工降雨。实验室制法:CaCO3+2HCl=CaCl2+CO2↑+H2O。
①酸性氧化物一-酸酐
Ca(OH)2+CO2=CaCO3↓+H2O(用于检验CO2)
②氧化性:CO2+C2CO;2Mg+CO22MgO+C
5.碳酸盐
①溶解性:Ca(HCO3)2>CaCO3;Na2CO3>NaHCO3
②热稳定性:Na2CO3>CaCO3;碱金属正盐>碱金属酸式盐: Na2CO3>NaHCO3
③相互转化:碳酸正盐碳酸酸式盐(除杂用)
6.硅
①硅在地壳中只有化合态,没有游离态。其含量在地壳中居第二,仅次于氧,是构成矿物和岩石的主要成分。
②晶体硅是灰黑色,有金属光泽,硬而脆的固体,是半导体,具有较高的硬度和熔点。
③硅的化学性质不活泼,常温下,只能与氟气、氢氟酸及强碱溶液反应:Si+2F2=SiF4、Si+4HF=SiF4+2H2↑、Si+2NaOH+H2O=Na2SiO3+2H2↑;在加热条件下,能与氧气、氯气等少数非金属单质化合:Si+O2SiO2
④制备:在电炉里用碳还原二氧化硅先制得粗硅:SiO2+2CSi+2CO↑,将制得的粗硅,再与C12反应后,蒸馏出SiCl4,然后用H2还原SiCl4可得到纯硅。有关的反应为:Si十2C12SiCl4 SiCl4+2H2Si+4HCl。
⑤硅在高新技术中的应用:高纯硅可作半导体材料
7.SiO2
①SiO2为原子晶体,是一种坚硬难熔的固体,硬度、熔点都很高。而CO2通常状况下是气体,固体熔点很低。其差别在于晶体类型不同。CO2是分子晶体,故熔点很低。
②二氧化硅的化学性质很稳定,不能跟酸(氢氟酸除外)发生反应。由于它是一种酸性氧化物,所以能跟碱性氧化物或强碱反应
SiO2+CaO     CaSiO3
SiO2+2NaOH=Na2SiO3+H2O(碱溶液不能在使用磨口玻璃塞的试剂瓶中)
③二氧化硅是一种特殊的酸性氧化物
a.酸性氧化物大都能直接跟水化合生成酸,但二氧化硅却不能直接跟水化合,它的对应水化物(硅酸)只能用相应的可溶性硅酸盐跟盐酸作用制得:首先让SiO2和NaOH(或Na2CO3)在熔化条件下反应生成相应的硅酸钠:SiO2+2NaOHNa2SiO3+H2O,SiO2+Na2CO3Na2SiO3+CO2­,然后用酸与硅酸钠作用制得硅酸:Na2SiO3+2HCl ===H2SiO3+2NaCl。
b.酸性氧化物一般不跟酸作用,但二氧化硅却能跟氢氟酸起反应:SiO2+4HF=SiF4+2H2O(氢氟酸不能盛放在玻璃容器中)。
④光导纤维
⑤石英、水晶
石英的主要成分是SiO2,可用来制造石英玻璃。石英晶体中有时含有其他元素的化合物,它们以溶解状态存在于石英中,呈各种颜色。纯 净的SiO2晶体叫做水晶,它是六方柱状的透明晶体,是较贵重的宝石。
8.硅酸和硅胶
①硅酸:硅酸有多种形式,如H4SiO4、H2SiO3、H2Si2O5等。一般用通式xSiO2·yH2O表示,由于“H2SiO3”分子式最简单,习惯采用H2SiO3作为硅酸的代表。
②硅酸酸性比碳酸还弱,由下列反应可证明:Na2SiO3+CO2+H2O=H2SiO3↓+Na2CO3
③硅胶:刚制得的硅酸是单个小分子,能溶于水,在存放过程中,它会逐渐失水聚合,形成各种多硅酸,接着就形成不溶于水,但又暂不从水中沉淀出来的“硅溶胶”。如果向硅溶胶中加入电解质,则它会失水转为“硅凝胶”。把硅凝胶烘干可得到“硅胶”。烘干的硅胶是一种多孔性物质,具有良好的吸水性。而且吸水后还能烘干重复使用,所以在实验室中常把硅胶作为作为干燥剂。
9.硅及其化合物的“反常”
①Si的还原性大于C,但C却能在高温下还原出Si:SiO2+2CSi+2CO↑
②非金属单质跟碱液作用一般无H2放出,但Si却放出H2:Si+2NaOH+H2O=Na2SiO3+2H2
③非金属单质一般不跟非氧化性酸作用,但Si能与HF作用:Si+4HF=SiF4+2H2
④非金属单质大多为非导体,但Si为半导体。
⑤SiO2是H2SiO3的酸酐,但它不溶于水,不能直接将它与水作用制备H2SiO3
⑥酸性氧化物一般不与酸作用,但SiO2能跟HF作用:SiO2+4HF=SiF4+2H2O
⑦无机酸一般易溶于水,但H2SiO3难溶于水。
⑧因H2CO3的酸性大于H2SiO3,所以在Na2SiO3溶液中通人CO2能发生下列反应:Na2SiO3+CO2+H2O=H2SiO3↓+Na2CO3,但在高温下SiO2+Na2CO3Na2SiO3+CO2↑也能发生。
⑨Na2SiO3的水溶液称水玻璃,但它与玻璃的成分大不相同,硅酸钠水溶液(即水玻璃)称泡花碱,但它却是盐的溶液,并不是碱溶液
10.硅酸盐
①硅酸盐是构成地壳岩石的主要成分,其结构复杂,组成可用氧化物的形式表示。例如:硅酸钠Na2SiO3(Na2O·SiO2);镁橄榄石Mg2SiO4(2MgO·SiO2);高岭石Al2(Si2O5)(OH)4(A12O3·2SiO2·2H2O)
②云母、滑石、石棉、高岭石等,它们都属于天然的硅酸盐。
③人造硅酸盐:主要有玻璃、水泥、各种陶瓷、砖瓦、耐火砖、水玻璃以及某些分子筛等。
④硅酸盐制品性质稳定,熔点较高,难溶于水,有很广泛的用途。最简单硅酸盐是硅酸钠,其水溶液俗称水玻璃,是一种矿物胶,可作粘合剂,防腐剂。
11.水泥、玻璃、陶瓷
①普通水泥的主要成分是硅酸三钙(3CaO·SiO2)、硅酸二钙(2CaO·SiO2)和铝酸三钙(3CaO·Al2O3),水泥具有水硬性,水泥、沙子和碎石的混合物叫混凝土。
②制玻璃的主要原料是纯碱、石灰石和石英,主要反应是:SiO2+Na2CO3Na2SiO3+CO2↑、SiO2+CaCO3CaSiO3+CO2↑,玻璃是无固定熔点的混合物。加入氧化钴后的玻璃呈蓝色,加入氧化亚铜后的玻璃呈红色,普通玻璃一般呈淡绿色,这是因为原料中混有二价铁的缘故。
③制造陶瓷的主要原料是黏土,黏土的主要成分:Al2O3·2SiO2·2H2O。
12.无机非金属材料
无机非金属材料包含除传统陶瓷外的各种性能优异的精细陶瓷:耐高温的二氧化锆(ZrO2)陶瓷、高熔点的氮化硅(Si3N4)和碳化硅(SiC)陶瓷;透明的氧化铝、砷化镓(GaAs)、硫化锌(ZnS)、硒化锌(ZnSe)、氟化镁(MgF2)、氟化钙(CaF2)等氧化物或非氧化物陶瓷;生物陶瓷;超细微粉体粒子制造的纳米陶瓷等。
 

击破考点一:有关碳族元素的考查
例1:下列关于碳族元素的说法正确的是(      )
    A.单质都是无色晶体       B.单质中硅单质熔点最高
    C.碳族元素形成的化合物种类最  D.在化合物中最稳定的化合价都是+4价
答案:C
解析:在碳族元素所形成的单质中,只有金刚石为无色晶体,故A是错的;在碳族元素形成的单质中,金刚石、晶体硅为原子晶体,金刚石的熔点比晶体硅高。本族单质的熔点与卤族元素单质熔点递变趋势不同,卤族单质熔点从F2→I2依次升高,碳族元素单质由C→Pb熔点呈降低趋势,故B项是错误的;碳族元素位于周期表中部,易形成共价化合物特别是碳元素是构成种类繁多的有机物的最重要元素;Pb的稳定价态为+2,故选项D也是错误的
点评:本题考察碳族元素性质递变规律
[变式训练1]如果发现114号新元素(位于第7周期IVA族),下列有关X可能具有的性质合理的是                                (   )
A.X是非金属元素
B.X的+2价化合物比+4价化合物稳定
C.XO2具有强氧化性
D.X有稳定的气态氢化物
答案:BC
分析:根据碳族元素性质递变规律,可推知114号元素的金属性比铅还强,一定是金属元素。它的稳定价态应与铅相同,即为+2价,所以XO比XO2稳定。X4+离子另得电子变成X2+,所以XO2具有强氧化性。X是金属元素,不可能存在稳定的气态氢化物。
[变式训练2]根据碳族元素的相似性与递变性、一般性与特殊性的知识,判断下列说法正确的是                                    (   )
   A. CO2、PbO2都是强氧化剂
   B. CO2和PbO2都是弱氧化剂,CO和PbO都是还原剂
   C. Sn(OH)4可与NaOH反应,但不与盐酸反应
   D. Ge单质的熔点介于Si、Pb之间,是半导体材料
答案:D
解析:碳族元素中,C、Si、Ge、Sn的+4价化合物稳定,而Pb的+2价化合物稳定,+4价不稳定的元素表现强氧化性,+2价不稳定的元素则表现强还原性,故A、B都错。Sn是典型金属,所以其最高价氧化物对应的水化物Sn(OH)4和HCl易反应,碳族元素单质的熔沸点由上而下逐渐降低
 
击破考点二:有关硅、二氧化硅的考查
例1:如图,已知: ①单质E可作为半导体材料;②化合物F是不能生成盐的氧化物;③化合物I能溶于水呈酸性,它能够跟氧化物A起反应。据此,请填空:
 
    
 
(1)化合物F是        
   (2)化合物I是       
   (3)反应③的化学方程式是             
   (4)反应④的化学方程式是             
答案:(1)CO(一氧化碳)     (2)HF(氟化氢)
     (3)2H2+O2   2H2O     (4)2F2+2H2O  4HF+O2
解析:本题一开始就指出单质E和化合物F分别是半导体材料和不形成盐的氧化物,因而它们的首选答案可考虑各为Si和CO,于是,反应①的化学方程式应为:
     SiO2+2C   Si+2CO↑
 
氧化物A是SiO2,它除了跟氢氟酸反应外不跟任何酸起反应,由此判断化合物I为HF。需作进一步检验,此时要对所有参与反应的各种物质加以考虑。现试写出其余3个反应的化学方程式如下:
     反应②为:C+H2O  CO+H2
     反应③为:2H2+O2 2H2O
     反应④为:2F2+2H2O 4HF+O2
     经逐个物质核对,均符合题意,解毕。显然,本题的“切入点”,可以认为是Si和CO,而HF和F2则是本题的难点和重点之所在。
点评:本题考查元素及其化合物的性质,属常规“方框图”题型。在全面系统掌握元素及其化合物性质的基础上,要善于抓住某些元素的特殊性质作为“切入点”,找到解题的突破口。
[变式训练3]下列说法不正确的是
A.因SiO2不溶于水,故H2SiO3不是SiO2对应的酸或者SiO2不是H2SiO3的酸酐
B.CO2通入水玻璃,可以得到硅酸沉淀
C.SiO2是一种空间立体网状结构的晶体,熔点高,硬度大
D.氢氟酸能够腐蚀玻璃,故不能用玻璃瓶来装氢氟酸
答案:A
[变式训练4]目前科学家拟合成一种“二重构造”的球形分子,即把足球型的C60分子熔进Si60的分子中,外面的硅原子与里面的碳原子以共价键结合,下列说法正确的是
A.它是一种高聚物        B.它是一种新型化合物
C.它是一种硅酸盐        D.它是由两种单质组成的混合物
答案:B
 
击破考点三:碳及其化合物的性质
[例3]将足量CO2通入KOH和Ca(OH)2的混合稀溶液中,生成沉淀的物质的量(n)和通入CO2体积(V)的关系正确的是                        (   )

答案:D
解析:CO2通入KOH和Ca(OH)2的混合溶液中,首先发生反应:CO2+Ca(OH)2    CaCO3↓+H2O,此段时间内,随着CO2的不断通入,沉淀量逐渐增加;等Ca(OH)2反应完,即发生反应为:
CO2+2KOH    K2CO3+2H2O,此段时间内,随着CO2的不断通入,沉淀量保持不变;等KOH反应完,即发生反应为:CO2+CaCO3+H2O    Ca(HCO3)2,沉淀量逐渐减少,一直到沉淀完全溶解。D图像符合题意。实际上这里还有一个定量关系:完全生成碳酸钙沉淀所需的二氧化碳的体积和使碳酸钙沉淀完全溶解所需的二氧化碳的体积相等。即下图中的OABC
 

 
点评:二氧化碳与碱反应的相关计算,要考虑反应的先后顺序及反应物的量。
[变式训练5]V、W、X、Y、Z 是由周期表1-20号部分元素组成的5种化合物,其中V、W、X、Z均为两种元素组成。上述5种化合物涉及的所有元素的原子序数之和等于35它们之间的反应关系如下图:

 

  (1)5 种化合物分别是 V    、W   、 X    、Y    、Z    ;(填化学式)

(2)由上述五种化合物中的某 2 种化合物反应可生成一种新化合物,它包含了 5 种化合物的所有元素,生成该化合物的化学方程式是               

(3)V的电子式是              

 (1)CaC2  CaO  CO2  Ca(OH)2  C2H2

(2)Ca(OH)2+2CO2=Ca(HCO3)2  (3)

击破考点四:硅酸盐产品、硅酸盐在生产中的应用

例4:熔融氢氧化钠反应选用的器皿是(  )

A.陶瓷坩埚       B.石英坩埚

C.普通玻璃坩埚     D.生铁坩埚

答案:D

分析:陶瓷的成分中含有SiO2,石英的成分就是SiO2,玻璃的主要成分中也含有SiO2,而SiO2在高温下可以跟NaOH发生如下反应:SiO2+2NaOHNa2SiO3所以A、B、C的器皿都不能选用,只能用生铁坩埚。

[变式训练6]下面叙述正确的是

A.石英玻璃属于原子晶体

B.盐酸与水玻璃相遇一定有硅酸或原硅酸沉淀呈白色胶状物析出

C.水玻璃又称泡花碱呈碱性,它掺在水泥里能提高水泥的耐酸性

D.生产水泥,普通玻璃都要用到主要原料是石灰石

答案:C、D

[变式训练7]下列溶液中可以盛放在玻璃瓶中,但不能用磨口玻璃塞的是   (   )

A.硅酸盐溶液      B.氢氟酸

C.氢氧化钠溶液     D.氯化钠溶液

答案:AC

分析:玻璃的主要成分之一二氧化硅,它能跟氢氟酸迅速反应,所以,氢氟酸不能盛放在玻璃、陶瓷容器中,只能保存在铅皿或塑料瓶中。氢氧化钠溶液与二氧化硅在常温下反应十分缓慢,所以可以盛放在玻璃瓶中,但瓶的磨口处的二氧化硅跟氢氧化钠缓慢反应后,生成的硅酸钠是一种矿物胶,使瓶塞与瓶口粘在一起,因此不能用磨口玻璃塞。硅酸钠溶液可以用玻璃瓶盛放,只是不能用磨口玻璃塞(原因同氢氧化钠溶液)。氯化钠溶液不跟玻璃中各种成分反应

击破考点五:碳族元素综合题21世纪教育网

例5:有A、B、C三种不溶于水的固体。A是某元素的一种单质,它在氧气中完全燃烧得到一种无色气体,此气体能使澄清石灰水变浑浊,另外测得这种气体密度为同温、同压下氧气密度的1.375倍。B固体能溶于热氢氧化钠溶液,再往所得溶液中加入过量盐酸时,析出白色胶状沉淀。此沉淀干燥后,成为不溶于水的白色粉末,这是一种比碳酸酸性还弱的酸。将B与石灰石、纯碱按比例混合加热得到C,C在高温时软化,无固定熔点。

根据以上事实,判断A为哪种元素的单质?B、C各是什么物质?写出有关反应的化学方程式。

答案:A为碳元素的一种单质。

C+O2CO2

B为SiO2

SiO2+2NaOH==Na2SiO3+H2O

Na2SiO3+2HCl=2NaCl+H2SiO3

C为普通玻璃

Na2CO3+SiO2==Na2SiO3+CO2

CaCO3+SiO2==CaSiO3+CO2

解析:先求出A燃烧后生成的气体的相对分子质量,根据该气体的相对分子质量及其反应现象可推出单质A;再根据B的有关反应现象可推出B;最后根据制取C的方法及C的性质可推出C。

A物质燃烧后生成的气体的相对分子质量为:

32×1.375=44

该气体能使澄清石灰水变浑浊,所以该气体为二氧化碳,A为碳元素的一种单质。

根据B物质能与氢氧化钠反应,且能继续与过量的盐酸反应生成一种比碳酸还弱的酸,可推出B物质为二氧化硅。C物质由石灰石、纯碱、B物质(二氧化硅)混合加热而得,结合C物质在高温时软化且无固定熔点,可推知C物质为普通玻璃。

[变式训练8]硅单质及其化合物应用范围很广。请回答下列问题:

(1)制备硅半导体材料必须先得到高纯硅。三氯甲硅烷(SiHCl3)还原法是当前制备高纯硅的主要方法,生产过程示意图如下:

①写出由纯SiHCl3制备高纯硅的化学反应方程式     

②整个制备过程必须严格控制无水无氧。SiHCl3遇水剧烈反应生成H2SiO3、HCl和另一种物质,写出配平的化学反应方程式    ;H2还原SiHCl3过程中若混O2,可能引起的后果是     。21世纪教育网

(2)下列有头硅材料的详法正确的是    (填字母)。

A.碳化硅化学性质稳定,可用于生产耐高温水泥

B.氮化硅硬度大、熔点高,可用于制作高温陶瓷和轴承

C.高纯度的二氧化硅可用于制造高性能通讯材料--光导纤维

D.普通玻璃是由纯碱、石灰石和石英砂制成的,其熔点很高

E.盐酸可以与硅反应,故采用盐酸为抛光液抛光单晶硅

(3)硅酸钠水溶液俗称水玻璃。取少量硅酸钠溶液于试管中,逐滴加入饱和氯化铵溶液,振荡。写出实验现象并给予解释  

(1)①SiHCl3+H2Si+3HCl

②3SiHCl3+3H2O===H2SiO3↓+H2↑+3HCl   高温下,H2遇O2发生爆炸。

(2)BC

(3)生成白色絮状沉淀,又刺激性气味的气体生成;解释:发生双水解反应, + 2 + 2H2O ===2NH3·H2O + H2SiO3

试题详情

1.碳及其化合物的知识网络

 

试题详情

1.[江苏省常州市第三中学2009届高三化学11月模拟试卷. ]已知水解聚马来酸酐得到的有机物HPMA被普遍用在锅炉中作阻垢剂。按下图步骤可以用不饱和烃A合成HPMA

(1)写出结构简式:A          ,C          

(2)反应①属于      反应,反应②属于      反应。(填反应类型)

(3)写出②、⑧反应的化学方程式

                                

 ⑧                                

(4)在上述合成路线中,有人提议略去③④⑤⑥反应,由C直接制得H而使实验简化,请你评价该建议是否合理?理由是什么?

         理由是:                         

试题详情

2、(温州市十校联合体高三联考)下图甲是课本中验证铜和浓硝酸反应的装置,乙、丙是对演示实验改进后的装置(其中a、b、c    为弹簧夹),试回答下列各问:

  (1)甲装置中发生反应的离子方程式是                

  (2)和甲装置相比,乙装置的优点是                       

 (3)为了进一步验证NO2和水的反应,某同学设计了丙装置。先关闭弹簧夹      (填a、b、c,后同),再打开弹簧夹        ,才能使NO2气体充满②试管。

  (4)当气体充满②试管后,将铜丝提起与溶液脱离,欲使烧杯中的水进入②试管应如何操作     

  (5)当②试管中的NO2和水充分反应,所得溶液物质的量浓度的最大值是     。(不考虑NO2与N2O4的转化且该实验条件下气体摩尔体积设为Vm L/mol)

试题详情

2.(浙江淳安县08届高三上学期三校联考)某校高一化学研究性学习小组对日常生活中的氯气用途进行了调查,了解到氯气可广泛地应用于衣物的漂白、水体的杀菌和消毒等。

(1)氯气可以用于漂白、消毒的原因是因为能与水作用形成具有   ▲  性的次氯酸,相关反应的离子方程式为        ▲          

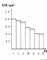
(2)在调查某室外游泳池夏季池水消毒情况时,小组成员了解到,该游泳池每周一上午8∶00换水,然后通入氯气消毒,通常游泳池水的含氯量控制在0.5 mg/L至1.0mg/L之间时,效果最好。右图是该小组测定的每天19∶00时泳池中水的氯含量,有哪几天使用泳池不安全       ▲        

(3)你认为哪几天的天气炎热、阳光强烈   ▲  

说出一种理由是            ▲                

(4)在对泳池水中通入氯气消毒时,当发生氯气泄漏时,

应立即关闭氯气罐,还应采取下列自救方法  ▲   。(选填序号)

A、用湿润的毛巾捂住口鼻跑向低处

B、用浸湿小苏打或肥皂水的毛巾捂住口鼻跑向高处

C、用浸湿浓氨水的毛巾捂住口鼻匍匐跑至安全处

D、用浸湿食盐水的毛巾捂住口鼻顺风跑至安全处

(5)小型泳池通常使用漂白液(NaClO溶液)而非氯气来消毒池水,试举出使用漂白液而非氯气的一项理由     ▲        

(6)请再写出你能知道的能用于饮用水消毒的消毒剂(至少写三种,否则不得分)     

      ▲        请在你书写的药品中选择一种你认为最好的带上飞机,并说明它的原因。选择  ▲  原因         ▲             

答案(1)强氧化 (1分);  Cl2 + H2O  H+ +Cl- + HClO  (2分)

  (2)星期六、星期日 (1分)(3)星期四、星期六 (1分); 阳光强烈HClO更易分解,致含氯量下降明显 (1分)

(4)B   (2分) (5)NaClO更稳定,便于储存和运输(1分);

(6)氯水、漂白粉、二氧化氯、双氧水、过氧乙酸、臭氧及高铁酸钠等(2分)

选择 漂白粉、(高铁酸钠)(1分)   原因:这些物质具有强氧化性,具有杀菌消毒作用,比其他药品易于存放运输,且安全(1分)

试题详情