0  363640  363648  363654  363658  363664  363666  363670  363676  363678  363684  363690  363694  363696  363700  363706  363708  363714  363718  363720  363724  363726  363730  363732  363734  363735  363736  363738  363739  363740  363742  363744  363748  363750  363754  363756  363760  363766  363768  363774  363778  363780  363784  363790  363796  363798  363804  363808  363810  363816  363820  363826  363834  447090 

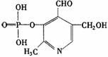
8.磷酸毗醛素是细胞的重要组成部分,可视为由磷酸形成的酯,其结构式如下,下列有关叙述不正确的是(   )

A.能与金属钠反应     B.能使石蕊试液变红

C.能发生银镜反应     D.1mol该酯与NaOH溶液反应,消耗3mol NaOH

试题详情

7.有机物分子中原子(或原子团)间的相互影响会导致化学性质的不同。下列叙述不能说明上述观点的是(   )

A.苯酚能与NaOH溶液反应,而乙醇不行

B.丙酮(CH3COCH3)分子中的氢比乙烷分子中的氢更易被卤原子取代

C.乙烯可发生加成反应,而乙烷不能

D.相等物质的量的甘油和乙醇分别与足量金属钠反应,甘油产生的H2

试题详情

6.与CH2=CH2CH2Br-CH2Br的变化属于同一反应类型的是(   )

试题详情

5.既能使溴水褪色又能跟金属钠反应,还可以和碳酸钠溶液反应的物质是(   )

试题详情

4.有下列几种有机物:

①CH3COOCH3    ②CH2=CHCH2Cl

⑤CH2=CH-CHO其中既能发生水解反应,又能发生加聚反应的是(   )

A.①与④      B.②与⑤      C.②与④      D.①、③和④

试题详情

3.在有机物分子中,若某个碳原子连接着四个不同的原子或原子团,这种碳原子称为“手性碳原子”。凡有一个手性碳原子的物质一定具有光学活性,物质有光学活性,发生下列反应后生成的有机物无光学活性的是(   )

A.与甲酸发生酯化反应          B.与NaOH水溶液共热

C.与银氨溶液作用            D.在催化剂存在下与H2作用

试题详情

2.已知苯酚钠溶液中通入二氧化碳,充分反应后只能生成苯酚和碳酸氢钠;而偏铝酸钠溶液中通入二氧化碳时,可生成氢氧化铝和碳酸钠,则下列说法正确的是(   )

A.酸性:苯酚<氢氧化铝<碳酸

B.结合氢离子的能力:HCO3-<<CO32-<AlO2-

C.同温、同浓度下溶液碱性强弱:偏铝酸钠>碳酸钠>苯酚钠>碳酸氢钠

D.相同条件下,溶液的pH:碳酸氢钠>苯酚钠>碳酸钠>偏铝酸钠

试题详情

1.某有机化合物的结构简式为,它可以发生的反应类型有

(a)取代  (b)加成  (c)消去  (d)酯化  (e)水解  (f)中和  (g)缩聚  (h)加聚(   )

A.(a)(c)(d)(f)   B.(b)(e)(f)(h)   C.(a)(b)(c)(d)(f)   D.除(e)(h)外

试题详情

3、设计实验步骤鉴别:(a)甲酸溶液(b)乙酸溶液(c)苯(d)甲苯(e)乙酸乙酯(f)甲酸乙酯(g)乙泉溶液7种无色液体。

[随堂作业]

试题详情

2、已知溴乙烷跟氰化钠反应后,产物再水解可以得到丙酸,CH3CH2Br+NaCN→ CH3CH2 CN +Na Br,CH3CH2 CN+H2O→CH3CH2COOH+NH3(未配平)产物分子比原化合物分子多了一个碳原子,增长了碳链。请根据以下框图回答问题。

F分子中含有8个原子组成的环状结构。

(1)反应①②③中属于取代反应的是_____________(填反应代号)。

(2)写出结构简式:E________________,F_____________________。

(3)写出C-→E的化学方程式_____________。

(4)若利用上述信息,适当改变反应物,从A开始经过一系列反应制得分子式为C7H14O2的有香味的、不溶于水的化合物,请写出C7H14O2的两种可能的结构简式。

试题详情


同步练习册答案