0  363638  363646  363652  363656  363662  363664  363668  363674  363676  363682  363688  363692  363694  363698  363704  363706  363712  363716  363718  363722  363724  363728  363730  363732  363733  363734  363736  363737  363738  363740  363742  363746  363748  363752  363754  363758  363764  363766  363772  363776  363778  363782  363788  363794  363796  363802  363806  363808  363814  363818  363824  363832  447090 

5、自20世纪90年代以来,芳炔类大环化合物的研究发展十分迅速,具有不同分子结构和几何形状的这一类物质在高科技领域有着十分广泛的应用前景。合成芳炔类大环的一种方法是以苯乙炔(CH≡C-)为基本原料,经过反应得到一系列的芳炔类大环化合物,其结构为:

(1)上述系列中第1种物质的分子式为    

(2)已知上述系列第1至第4种物质的分子直径在1-100nm之间,分别将它们溶解于有机溶刑中,形成的分散系为    

(3)以苯乙炔为基本原料,经过一定反应而得到最终产物。假设反应过程中原料无损失,理论上消耗苯乙炔与所得芳炔类大环化合物的质量比为    

(4)在实验中,制备上述系列化合物的原料苯乙炔可用苯乙烯(CH2=CH-)为起始物质,通过加成、消去反应制得。写出由苯乙烯制取苯乙炔的化学方程式(所需的无机试剂自选)

试题详情

4、化合物A是天然蛋白质的最终水解产物,化合物B是一种含有醛基的硝酸酯,A、B两物质的分子式

都可用CaHbOcNd(且a+c=b,a-c=d)表示。试回答:

 (1)A、B两物质的分子式是  

 (2)光谱测定显示A的分子结构中不存在甲基(-CH3),则A的结构简式是  ;光谱测定显示为B

的烃基部分不存在支链,则B的结构简式是  

试题详情

3、A、B是两种式量不相等的有机化合物,无论A、B以何种比例混合,只要混合物的总质量不变,完全燃烧后,产生的水的质量也不变。试写出两组符合上述规律的有机化合物的化学式_____________________、_____________________,并回答A、B应满足的条件_______________________________________________________________。

试题详情

1、某有机物6.2g完全燃烧后生成8.8g二氧化碳和0.3mol水,该有机物对氢气的相对密度为31。试求该有机物的分子式       。 2、有机化合物A、B分子式不同,它们只可能含C、H、O元素中的两种或三种。如果将A、B不论以何种比混合,只要混合物的物质的量之和不变,完全燃烧时所耗O2和生成的水的物质的量也不变。那么,A、B必须满足的条件是_________________________________ ___________________________________________________________________________。若A是甲烷,则符合上述条件的化合物B中,分子量最小的是_____________________,并写出分子量最小的含有甲基的B的两种同分异构体的结构简式__________________________________、______________________________________。

试题详情

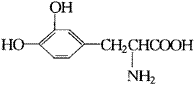
6、L-多巴是一种有机物,它可用于帕金森综合症的治疗,其结构简式如下:

这种药物的研制是基于获得2000年诺贝尔生理学或医学奖和获得2001年诺贝尔化学奖的研究成果。下列关于L?多巴酸碱性的叙述正确的是( )。  A.既没有酸性,又没有碱性  B.既具有酸性,又具有碱性  C.只有酸性,没有碱性  D.只有碱性,没有酸性

试题详情

5、有机物CH2=CH-CH2-CH(OH)-COOH在不同条件下可能发生有机反应类型有:①加成;②取代;③消去;④氧化;⑤酯化;⑥加聚;⑦缩聚。其中因分子结构中含-OH而可能发生的反应有(    )

A、①④⑥⑦   B、③④⑤   C、②③④⑤⑦   D、全部

试题详情

4、维通橡胶是一种耐腐蚀、耐油、耐高温、耐寒性能都特别好的氟橡胶。它的结构简式见右图:

合成它的单体为

A  氟乙烯和全氟异丙烯      B  1,1-二氟乙烯和全氟丙烯

C  1-三氟甲基-1,3-丁二烯   D  全氟异戊二烯

试题详情

2、某烃完全燃烧后,生成二氧化碳和水的物质的量之比为n:(n-1),此烃可能是  A、烷烃    B、单烯烃    C、炔烃    D、苯的同系物 3、在下列烃中,①等质量完全燃烧耗O2量最大的是(     );②等物质的量完全燃烧耗O2量最大的是(     )

A、C3H8      B、C4H6       C、C2H2         D、C2H6

试题详情

1、两种气态烃以任意比例混合,在105℃时,1L该混合烃与9LO2混合,充分燃烧后恢复到原状态,所得气体体积仍是10L。下列各组混合烃不符合此条件的是:(  )

A、CH4,C2H4    B、CH4,C3H6      C、C2H4,C3H4   D、C2H2,C3H6

试题详情

环状单体在一定条件下可以开环形成聚合物。聚合时常加成一个小分子形成端基。

10.开环形成的聚合物的组成与其单体相同(端基不计算在内)。

        

 [随堂作业]

试题详情


同步练习册答案