0  363726  363734  363740  363744  363750  363752  363756  363762  363764  363770  363776  363780  363782  363786  363792  363794  363800  363804  363806  363810  363812  363816  363818  363820  363821  363822  363824  363825  363826  363828  363830  363834  363836  363840  363842  363846  363852  363854  363860  363864  363866  363870  363876  363882  363884  363890  363894  363896  363902  363906  363912  363920  447090 

6.(2010辽宁沈阳一摸)

中,A、B、C为三角形的三个内角,且满足条件,.

(Ⅰ)求的值; 

(Ⅱ)若,求的面积.

试题详情

5.(2010北京宣武模拟题)

已知函数

⑴求函数的最小正周期及图象的对称轴方程;

⑵设函数,求的值域.

试题详情

4.(2010陕西省高三冲刺卷)

已知函数为定义在R上的奇函数,且当时,

(1)    求的表达式;

(2)    若关于的方程有解,求实数的范围。

试题详情

3.(2010山东济宁五中5月模拟)

中,分别为角的对边,且满足

  (Ⅰ)求角的值;

  (Ⅱ)若,设角的大小为的周长为,求的最大值。

试题详情

2.(2010英才苑模拟、辽宁丹东2009-2010学年度下高一期末质量监测)

一气球以V(m/s)的速度由地面上升,10分钟后由观察点P测得气球在P的正东方向S处,仰角为;再过10分钟后,测得气球在P的东偏北方向T处,其仰角为(如图,其中QR分别为气球在ST处时的正投影).求风向和风速(风速用V表示).

试题详情

1.(2010北京朝阳区模拟)

中,角所对的边分别为,且

⑴求的值;

⑵若,求的面积.

试题详情

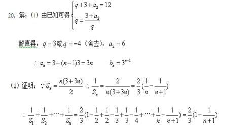
9. 解:(I)当             ………………(2分)

故{an}的通项公式为;           ………………(4分)

设{bn}的通项公式为

 ………………(6分)

(II)          ………………(8分)

两式相减得                    ………………(10分)

              ………………(12分)

试题详情

8. 解:(1)证法一:当时,,不等式成立,

假设时,成立  (2分),

时,.(5分)

时,时成立

综上由数学归纳法可知,  对一切正整数成立   (6分)

证法二:当时,,结论成立;

假设时结论成立,即(2分) 当时,

由函数的单增性和归纳假设有

(4分),

因此只需证:

而这等价于

显然成立,所以当是,结论成立;

综上由数学归纳法可知,  对一切正整数成立   (6分)

证法三:由递推公式得

   (2分)

上述各式相加并化简得

     (4分)

时,显然成立,  故(6分)

试题详情

7. ⑴∵点在直线上,∴

是以为首项,为公比的等比数列,

 

⑵∵

时,

⑶由⑵知

时,

试题详情


同步练习册答案