0  363823  363831  363837  363841  363847  363849  363853  363859  363861  363867  363873  363877  363879  363883  363889  363891  363897  363901  363903  363907  363909  363913  363915  363917  363918  363919  363921  363922  363923  363925  363927  363931  363933  363937  363939  363943  363949  363951  363957  363961  363963  363967  363973  363979  363981  363987  363991  363993  363999  364003  364009  364017  447090 

9.函数的定义域为     

试题详情

8.设,定义一种向量积:= (a1b1a2b2).已知点=, =,点Qyf(x)的图象上运动,满足+ (其中O为坐标原点),则yf(x)的最大值A及最小正周期T分别为     ( )

A.2,π          B.2,4π         C.,4π         D.,π

试题详情

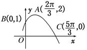
7.已知函数f(x)的部分图象如图所示,则f(x)的解析式可能为            ( )

A.f(x)=2sin(+)    

    B.f(x)=sin(4x+)

    C.f(x)=2sin(-)    

    D.f(x)=sin(4x-)

试题详情

6.已知为实数,则的             (   )

  A.充分非必要条件           B.必要非充分条件  

  C.充要条件              D.既不充分也不必要条件

试题详情

5.已知f(x)=lg(-ax)是一个奇函数,则实数a的值是            ( )

A.1            B.-1         C.10          D.±1

试题详情

4.若曲线在点处的切线方程是,则      (   )

A.             B.

C.           D.

试题详情

3.sin(-x)=,则sin2x的值为                                     ( )

A.          B.          C.           D.

试题详情

2.已知向量不共线,,如果,那么             ( )

A.k=1且同向           B.k=1且反向

C.k=-1且同向           D.k=-1且反向

试题详情

1.若集合M={x∈R|-3<x<1}, N={x∈Z|-1≤x≤2},则MN=           ( )

A.{0}          B.{-1,0}        C.[-1, 1)       D.{-2,-1,0,1,2}

试题详情

5. 如图,CD是⊙O的直径,∠EOD=84°,AE交⊙O于点B,且AB=OC,求∠A的度数.

试题详情


同步练习册答案