0  397410  397418  397424  397428  397434  397436  397440  397446  397448  397454  397460  397464  397466  397470  397476  397478  397484  397488  397490  397494  397496  397500  397502  397504  397505  397506  397508  397509  397510  397512  397514  397518  397520  397524  397526  397530  397536  397538  397544  397548  397550  397554  397560  397566  397568  397574  397578  397580  397586  397590  397596  397604  447090 

2.还原性

反应方程式
基本类型
反应现象
用途
高温
CO2+C=====2CO
 
化合
该反应吸热
煤炉中的反应之一
高温
C+2CuO=====2Cu+CO2
 
 
置换
黑色固体逐渐变成红色,且生成一种能使澄清石灰水变浑浊的气体
还原CuO(冶炼金属)
高温
2Fe2O3+3C====4Fe+3CO2
 
置换
 
/
还原Fe2O3(炼铁)

试题详情

1.可燃性

反应方程式
基本类型
反应现象
用途
(O2充足)
      点燃
C+O2====CO2
 
化合
碳在氧气里燃烧,发出白光,并放出热量,燃烧后生成的无色气体能使澄清石灰水变浑浊
煤,木炭的主要成分,做燃料
(O2不充足)
      点燃
2C+O2====2CO
 
化合
碳在氧气里燃烧,发出白光,并放出热量,燃烧后生成的无色气体有毒
含碳燃料不充分的燃烧均生成CO

试题详情

反应方程式
基本类型
反应现象
用途

2KMnO4===K2MnO4+MnO2+O2
 
分解
/
实验室制取O2
MnO2
2KClO3=====2KCl+3O2

分解
/
MnO2
2H2O2====2H2O+O2
 
分解
产生大量无色气泡
通电
2H2O====2H2↑+O2
 
 
分解
正负电极上分别产生无色气泡,负极上产生的气体体积是正极上产生气体体积的两倍
/

2HgO =====  2Hg+O2
 
 
分解
红色固体渐消失,产生银色液体
/

试题详情

反应方程式
反应基本类型
反应现象
用途
 
点燃
2H2+O2====2H2O
 
 
化合
氢气在氧气中燃烧,发出淡蓝色火焰,放出大量的热,生成水
H2是最清洁的燃料
点燃
S+O2 ====SO2
 
化合
硫在氧气里燃烧,发出蓝紫色火焰.生成一种带有刺激性气味的气体,并放出热量.在空气中产生微弱蓝紫色火焰。
制炸药(火药)
点燃
4P+5O2====2P2O5
 
化合
磷在空气中燃烧,产生大量白烟并放出热量.
火柴盒、发令枪
点燃
3Fe+2O2=====Fe3O4
 
化合
铁丝在氧气中剧烈燃烧,火星四射,生成一种黑色固体,并放出大量的热.
 
/
点燃
2Mg+O2=====2MgO
 
化合
镁在氧气中燃烧,放出大量的热,同时发出耀眼的白光.生成一种白色固体.
制烟花
点燃
CH4+2O2=====CO2+2H2O
 
 
 
/
甲烷在氧气(或空气)中燃烧,发出蓝色明亮的火焰,放热.
天然气的主要成分,主要的燃料

2Hg+O2=====2HgO
化合
 
(见上册26页)
 
/

试题详情

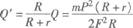
8.解析:(1)U形框向右运动时,NQ边相当于电源,产生的感应电动势E=Blv0,当如图乙所示位置时,方框bd之间的电阻为

U形框连同方框构成的闭合电路的总电阻为

闭合电路的总电流为

根据欧姆定律可知,bd两端的电势差为:Ubd=

方框中的热功率为:

(2)在U形框向右运动的过程中,U形框和方框组成的系统所受外力为零,故系统动量守恒,设到达图示位置时具有共同的速度v,根据动量守恒定律

根据能量守恒定律,U形框和方框组成的系统损失的机械能等于在这一过程中两框架上产生的热量,即

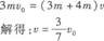
(3)设U形框和方框不再接触时方框速度为v1, u形框的速度为v2:,根据动量守恒定律,有3mv=4mvI+3mv2……两框架脱离以后分别以各自的速度做匀速运动,经过时间t方框最右侧和U形框最左侧距离为s,即(v2-v1)t=s联立以上两式,解得

试题详情

7.解析:(1)撤去F之前,设通过电阻R的电流为I,则金属杆受到的安培力大小F安=BIL=F.撤去F之后,由P=I2R知,当电阻R上消耗的电功率为P/4时,通过R的电流I'=I/2,则金属杆受到的安培力F’安=BI'L=F/2,方向水平向左,由牛顿第二定律得,

.方向水平向左.

(2)撤去F后,金属杆在与速度方向相反的安培力作用下,做减速运动直到停下。设匀速运动时金属杆的速度为v,则I2(R+r)=Fv,又P=I2R,解得

由能量守恒可得,撤去F后,整个电路产生的热量

则电阻R上产生的焦耳热

试题详情

6.答案:4;0.28;0.08

解析:F=(M-m)g,转化的内能=FL

试题详情

5.答案:0.5W

解析:由题意分析知,当砝码加速下落到速度最大时,砝码的合外力为零,此时R得到功率最大,为mg=BImaxL  ①

Pmax=I2maxR②

由式①②得   Pmax=(mg/BL)2R=0.5W

试题详情

4.答案:C

  解析:这是一道选用力学规律求解电磁感应的好题目,线框做的是变加速运动,不能用运动学公式求解,那么就应想到动能定理,设线框刚进出时速度为v1和v2,则第一阶段产生的热量

,第二阶段产生的热量Q2=mv2/2,只要能找出v1和v2的关系就能找到答案,由动量定理可得  

试题详情

3.答案:D

  解析:铝环向右运动时,环内感应电流的磁场与磁铁产生相互作用,使环做减速运动,磁铁向右做加速运动,待相对静止后,系统向右做匀速运动,由I=(m+M)v,得v=I/(m+M),即为磁铁的最大速度,环的最小速度,其动能的最小值为m/2·{I/(m+M)}2,铝环产生的最大热量应为系统机械能的最大损失量,I2/2m-I2/2(m+M)=MI2/2m(m+M).

试题详情


同步练习册答案