0  419576  419584  419590  419594  419600  419602  419606  419612  419614  419620  419626  419630  419632  419636  419642  419644  419650  419654  419656  419660  419662  419666  419668  419670  419671  419672  419674  419675  419676  419678  419680  419684  419686  419690  419692  419696  419702  419704  419710  419714  419716  419720  419726  419732  419734  419740  419744  419746  419752  419756  419762  419770  447090 

例2. 若,则(   )

A.

B.

C.

D.

解:取,很容易得到答案为D。

点拨:特例法就是用符合已知条件的特例或考虑特殊情况、特殊位置,检验选择支或化简已知条件,得出答案。当已知条件中有范围时可考虑使用特例法。

试题详情

例1. 若有意义,则(   )。

A.                 B.

C.                D.

解:根据题设,注意到,直接化简原式,可得

选C。

点拨:直接法就是直接从条件出发,通过合理运算和严密推理,最后推出正确的结果,再对照选择支解答的一种解题思路。

试题详情

29. (13分)

(1) (    )(2)                     

(3)                                

                                     

                                 

(4)              ,              

试题详情

28.(11分)

(1)______________________    _ _。 (2)______________   ____。

(3)K=___________ ____, _____ _____反应 (4)_________   _    __

试题详情

27.(12分)(1)原子结构示意图              

外围电子排布式             

(2)        (用化学式表示);    个σ键和    个π键。

(3)化学式             杂化方式与配位体以     键相结合。

试题详情

26.(10分)⑴元素名称: C     

⑵形成过程:                      

⑶结构式:         ;电子式:          

⑷空间构型:               (填“极性分子”或“非极性分子”)

(5)由大到小的顺序为              (用元素符号表示)。

试题详情

25. (6分)

 ⑴    ; ⑵    ;  ⑶    ; ⑷    ;⑸   

试题详情

29. (13分)

(1)下列有关晶体的叙述中错误的是(  )

A.石英晶体中的硅原子以sp2杂化方式与周围的氧原子形成共价键

B.氯化钠晶体中每个Na+或Cl-周围紧邻的有6个Cl- 或Na+       

C.在CsCl晶体中每个Cs+ 周围紧邻的有8个Cl-,而和每个Cl-等距离紧邻的也有8个Cs+  

D.在面心立方密堆积的金属晶体中,每个金属原子周围紧邻的有4个金属原子

(2)已知MgO的晶体结构属于NaCl型。某同学

画出的MgO晶胞结构示意图如下图所示,请改正图

中错误:                 

(用文字表述)

(3)第三周期部分元素氟化物的熔点见下表:

氟化物
NaF
MgF2
SiF4
熔点/K
1266
1534
183

解释表中氟化物熔点差异的原因:                     

                                    

                                    

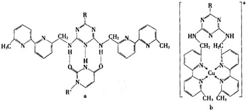
(4)人工模拟是当前研究的热点。有研究表明,化合物X可用于研究模拟酶,当其结合

 或Cu(I)(I表示化合价为+1)时,分别形成a和b:

分析a和b中微粒间的相互作用(包括化学键和分子间相互作用)的差异,试指出

不同点

a中含        ,b中含        。(用“氢键”、“配位键”、“极性键”、“非极性键”等填空)

化学答题卡(平行班)

试题详情

28.(11分)在容积为1L的密闭容器中,进行如下反应:A(g)+2B(g) C(g)+D(g),在不同温度下,D的物质的量n(D)和时间t的关系如图。请回答下列问题:

(1)700℃时,0-5min内,以B表示的平均反应速

率为____________________________。

(2)能判断该反应是否达到化学平衡状态的依据是

(多选扣分)__________________。

A.容器中压强不变   B.混合气体中c(A)不变

C.2v(B)=v(D)    D.c(A)= c (C)

(3)若最初加入1.0molA和2.2molB,利用图中数据计算800℃时的平衡常数

K=_______________,该反应为__________反应(填“吸热”或“放热”)。

(4)800℃时,某时刻测得体系中各物质的物质的量浓度如下:c(A)=0.06mol·L-1,c(B)=0.50mol·L-1,c(C)=0.20mol·L-1,c(D)=0.018mol·L-1,则此时该反应将______________(填“向右移动”、“向左移动”或“处于平衡状态”)。

试题详情

27.(12分)有A、B、C、D、E五种元素,其中A、B、C、D为短周期元素,A元素的周期数、主族数、原子序数相同;B原子核外有3种能量不同的原子轨道且每种轨道中的电子数相同;C原子的价电子构型为ns n np n+1,D元素的原子最外层电子数比次外层电子数少2个,D的阴离子与E的阳离子电子层结构相同,D和E可形成化合物E2D。

(1)上述元素中,E元素的原子结构示意图为          

D元素的外围电子排布式为                  

(2)下列分子结构图中的表示上述元素的原子中除去最外层电子的剩余部分, 小黑点表示没有形成共价键的最外层电子,短线表示共价键。

          

则在以上分子中,中心原子采用sp3杂化形成化学键的非极性分子是       (用化学式表示); 在③的分子中有        个σ键和        个π键。

(3)AgNO3 溶液与足量C的氢化物水溶液反应生成的配合物,其化学式为         ,该配合物中心原子通过    杂化方式与配位体以

     键相结合。

试题详情


同步练习册答案