已知二次函数f(x)=ax2+bx+c和一次函数g(x)=-bx,其中a、b、c,满足a>b>c,a+b+c=0(a,b,c∈R).
(1)求证:两函数的图象交于不同的两点A,B;
(2)求线段AB在x轴上的射影A1B1的长的取值范围.
【答案】
分析:(1)联立两个函数的方程

得 ax
2+2bx+c=0.所以△=4(a+

)
2+3c
2.∵a+b+c=0,a>b>c,∴a>0,c<0.,
∴△>0,即两函数的图象交于不同的两点
(2)由题意得|A
1B
1|
2=(x
1-x
2)
2=(x
1+x
2)
2-4x
1x
2=

∵a+b+c=0,a>b>c,a>0,c<0,∴a>-a-c>c所以

∈(-2,-

).
再根据二次函数的性质求得A
1B
12∈(3,12),故A
1B
1∈(

)
解答:解:(1)由

消去y,得 ax
2+2bx+c=0.
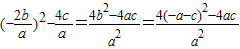
△=4b
2-4ac=4(-a-c)
2-4ac=4(a
2+ac+c
2)=4(a+

)
2+3c
2.
∵a+b+c=0,a>b>c,∴a>0,c<0.
∴

c
2>0,∴△>0,即两函数的图象交于不同的两点.
(2)设方程ax
2+2bx+c=0的两根为x
1和x
2,则x
1+x
2=-

,x
1x
2=

.
|A
1B
1|
2=(x
1-x
2)
2=(x
1+x
2)
2-4x
1x
2=

=

.
∵a+b+c=0,a>b>c,a>0,c<0,
∴a>-a-c>c,解得

∈(-2,-

).
∵

的对称轴方程是

,且当

∈(-2,-

)时,为减函数,
∴A
1B
12∈(3,12),故A
1B
1∈(

).
点评:本题主要考查一元二次方程的根的分布与系数的关系,不等式的性质也略有体现,在高考中以基础题型出现.