精英家教网 > 高中数学 > 题目详情
已知二次函数f(x)=x2-ax+a(a≠0),不等式f(x)≤0的解集有且只有一个元素,设数列{an}的前n项和为Sn=f(n).
(1)求数列{an}的通项公式;
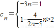
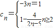
(2)设各项均不为0的数列{cn}中,满足ci•ci+1<0的正整数i的个数称作数列{cn}的变号数,令,求数列{cn}的变号数.
【答案】分析:(1)由题设条件知a2-4a=0⇒a=4,故f(x)=x2-4x+4.an=Sn-Sn-1=(n-2)2-(n-3)2=2n-5,所以
(2)由题可得,,由此入手能够求出数列{cn}的变号数.
解答:解:(1)由于不等式f(x)≤0的解集有且只有一个元素,∴△=a2-4a=0⇒a=4,
故f(x)=x2-4x+4.(2分)
由题Sn=n2-4n+4=(n-2)2
则n=1时,a1=S1=1;n≥2时,an=Sn-Sn-1=(n-2)2-(n-3)2=2n-5
,.(6分)
(2)由题可得,
由c1=-3,c2=5,c3=-3,所以i=1,i=2都满足ci•ci+1<0,(8分)
当n≥3时,cn+1>cn,且,同时
可知i=4满足cici+1<0;n≥5时,均有cncn+1>0.∴满足cici+1<0的正整数i=1,2,4,故数列{cn}的变号数).(12分)
点评:本题考查数列知识的综合运用,解题时要注意公式的灵活运用.
练习册系列答案
相关习题

科目:高中数学 来源: 题型:

已知二次函数f(x)=x2+2(m-2)x+m-m2
(I)若函数的图象经过原点,且满足f(2)=0,求实数m的值.
(Ⅱ)若函数在区间[2,+∞)上为增函数,求m的取值范围.

查看答案和解析>>

科目:高中数学 来源: 题型:

已知二次函数f(x)=ax2+bx+c(a≠0)的图象过点(0,1),且与x轴有唯一的交点(-1,0).
(Ⅰ)求f(x)的表达式;
(Ⅱ)设函数F(x)=f(x)-kx,x∈[-2,2],记此函数的最小值为g(k),求g(k)的解析式.

查看答案和解析>>

科目:高中数学 来源: 题型:

已知二次函数f(x)=x2-16x+q+3.
(1)若函数在区间[-1,1]上存在零点,求实数q的取值范围;
(2)若记区间[a,b]的长度为b-a.问:是否存在常数t(t≥0),当x∈[t,10]时,f(x)的值域为区间D,且D的长度为12-t?请对你所得的结论给出证明.

查看答案和解析>>

科目:高中数学 来源: 题型:

(2013•广州一模)已知二次函数f(x)=x2+ax+m+1,关于x的不等式f(x)<(2m-1)x+1-m2的解集为(m,m+1),其中m为非零常数.设g(x)=
f(x)x-1

(1)求a的值;
(2)k(k∈R)如何取值时,函数φ(x)=g(x)-kln(x-1)存在极值点,并求出极值点;
(3)若m=1,且x>0,求证:[g(x+1)]n-g(xn+1)≥2n-2(n∈N*).

查看答案和解析>>

科目:高中数学 来源: 题型:

(1)已知二次函数f(x)的图象与x轴的两交点为(2,0),(5,0),且f(0)=10,求f(x)的解析式.
(2)已知二次函数f(x)的图象的顶点是(-1,2),且经过原点,求f(x)的解析式.

查看答案和解析>>

同步练习册答案