题目列表(包括答案和解析)

 0  117920  117928  117934  117938  117944  117946  117950  117956  117958  117964  117970  117974  117976  117980  117986  117988  117994  117998  118000  118004  118006  118010  118012  118014  118015  118016  118018  118019  118020  118022  118024  118028  118030  118034  118036  118040  118046  118048  118054  118058  118060  118064  118070  118076  118078  118084  118088  118090  118096  118100  118106  118114  447348 

★1.1035-998    ★2.5076+99

★3.3008+449   ★4.428×25×4

★★5.328-189-28  ★★6.43.2-(3.2-1.28)

★★17.25×2×1.25×4×5×8

★★18.84×0.25+16÷4

试题详情

简便计算

典型题解

★例1 1.24+0.78+8.76

解  原式=(1.24+8.76)+0.78

=10+0.78

=10.78

[解题关键和提示]

运用加法的交换律与结合律,因为1.24与8.76结合起来,和正好是整数10。

★例2 933-157-43

解  原式=933-(157+43)=933-200=733

[解题关键和提示]

根据减法去括号的性质,从一个数里连续减去几个数,可以减去这几个数的和。因此题157与43的和正好是200。

★例3 4821-998

=4821-1000+2=3823

[解题关键和提示]

此题中的减数998接近1000,我们就把它变成1000-2,根据减法去括号性质,原式=4821-1000+2,这样就可口算出来了,计算熟练后,998变成1000-2这一步可省略。

★例4 0.4×125×25×0.8

解 原式=(0.4×25)×(125×0.8)=10×100=1000

[解题关键和提示]

运用乘法的交换律和结合律,因为0.4×25正好得10,而125×0.8正好得100。

★例5 1.25×(8+10)

解 原式=1.25×8+1.25×10=10+12.5=22.5

[解题关键和提示]

根据乘法分配律,两个加数的和与一个数相乘,可用每一个加数分别与这个数相乘,再把所得的积相加。

★★例6 9123-(123+8.8)

解 原式=9123-123-8.8=9000-8.8=8991.2

[解题关键和提示]

根据减法去括号的性质,从一个数里减去几个数的和,可以连续减去这几个数,因为9123减去123正好得9000,需要注意的是减法去掉括号后,原来加上8.8现已变成减去8.8了。

★★例7 1.24×8.3+8.3×1.76

解 原式=8.3×(1.24+1.76)=8.3×3=24.9

[解题关键和提示]

此种解法是乘法分配律的逆运用。即几个数同乘以一个数的和,可用这几个数的和乘以这个数。

★★例8 9999×1001

解  原式=9999×(1000+1)=9999×1000+9999×1

=10008999

[解题关键和提示]

此题把1001看成1000+1,然后根据乘法的分配律去简算。

[解题关键和提示]

此题中运用了两次乘法分配律,因此不能只满足第一次简算成功,要继续寻找合理灵活的算法,直到全部结束。

[解题关键和提示]

此题根据需要,运用了两次减法去括号的性质。

★★★例11 14.8×6.3-6.3×6.5+8.3×3.7

解  原式=(14.8-6.5)×6.3+8.3×3.7

=8.3×6.3+8.3×3.7

=8.3×(6.3+3.7)

=8.3×10

=83

[解题关键和提示]

此题中的8.3×3.7不能在第一次简算时误看作6.3×3.7,第一次它不能参与简算,那么就把它照抄下来,看后面是否有机会。第一次简算的结果正好出现了8.3×6.3,这样可以进行第二次简算。

★★★例12 32×125×25

解  原式=4×8×125×25

=(4×25)×(8×125)

=100×1000

=100000

[解题关键和提示]

把32分解成4×8,这样125×8和25×4都可得到整百、整千的数。典型题库

试题详情

★★1.287×304-28350÷27

★★2.3.2×1.44÷6.4+1.2×(0.1-0.02)

试题详情

★★2.2.4+3.6÷1.2×3=2.4+3.6÷3.6=2.4+1=3.4

试题详情

=(   )

=(   )

试题详情

A.把分数化成小数计算

B.把小数化成分数计算

C.两种方法都可以

D.无法确定

★★2.下列各式中,把分数化成小数和把小数化成分数计算比较简便的算式分别是(   )。

★3.与0.075÷0.25值相等的算式是(   )。

A.0.075÷25  B.0.75÷25

C.7.5÷25   D.75÷25

★★4.29000÷600=48余(   )。

A.2   B.20

C.200  D.2000

★★5.下列各个乘积中,积比被乘数小的是(   )。

A.12×1.2  B.1.2×1.2

C.12×0.12  D.0.12×I2

试题详情

★1.83/8+1.625     ★2.5.75+1/4

★3.4.8-23/5    ★★4.15/6+2.75

★57.2×5/18    ★6.12/3÷0.5

★★7.42/3×0.15  ★★8.6.25÷5/24

★9.4.34+0.6    ★10.72.86-0.12

★11.0.5×0.2   ★12.3.3÷1.1

★★13.15.16-2.86 ★★14.4.3×0.3

★15.0÷0.05    ★16.1.25×0.8

★17.98+0.2      ★18.10-0.9

★19.7.2÷0.01   ★20.1.7+3

试题详情

★★1.两个完全一样的直角三角形可以拼成

A.长方形(   )

B.三角形(   )

C.梯形(    )

A.是真分数(   )

B.是最简分数(   )

C.是一个比值(   )

D.表示2与3的比(   )

算式是

★★★4.π是

A.圆周长和直径的比值(   )

B.圆直径和周长的比值(   )

C.圆周率(   )

D.3.14(   )

E.无限不循环小数(   )

计  算

典型题解

★例1  计算0.26×707.5÷6.5

解  原式=18.395÷6.5=2.83

[解题关键和提示]

小数乘除混合运算与整数乘除混合运算的运算顺序相同,都是从左到右依次计算。

★例2  3.06÷(0.25×68)

解 原式=3.06÷17=0.18

[解题关键和提示]

小数乘除混合运算时,在有括号的算式里,应先算括号里面的,后算括号外面的。

[解题关键和提示]

同分母分数相加减,只把分子相加减,分母不变。

[解题关键和提示]

异分母分数相加减,先通分,然后按照同分母分数加减法的法则进行计算。

[解题关键和提示]

在分数的计算过程中,可以根据题目的需要,把1化成是几个分数的公分母作分母的假分数。

[解题关键和提示]

带分数相加减,整数部分和分数部分分别相加减,再把所得的数合并起来。

[解题关键和提示]

练后。中间过程可以省略。

[解题关键和提示]

分数、小数加减混合运算,如果分数能化成有限小数,那么把分数化成小数计算,可以避免通分的麻烦,这样比较简便。

[解题关键和提示]

分数、小数加减混合运算,如果分数不能化成有限小数,那么就把小数化成分数再计算。

[解题关键和提示]

此题较特殊,在这种情况下,没有必要统一数的形式,而应灵活处理,运用加法交换律计算比较简便。

[解题关键和提示]

不如将小数化成分数,利用分母的倍数关系直接通分,再求出计算结果。

[解题关键和提示]

分数、小数乘除混合运算一般用分数计算比较简便。可以把小数看作分母是1的分数,直接参加约分或相乘(如解法一);也可以把小数化成分数后再计算,比较简便,同时能减少计算的错误(如解法二)。

[解题关键和提示]

带分数与整数相乘时,可以把带分数写成整数与真分数的和的形式,再运用乘法分配律进行计算。熟练后,中间过程可省略。

★★例14  328+7×(234-432÷18)

解  原式=328+7×(234-24)

=328+7×210

=328+1470

=1798

[解题关键和提示]

四则混合运算要求按照递等式进行书写。此题是含有小括号的混合运算,应先算小括号里面的。

解  原式=3.68+0.03÷0.075

=3.68+0.4

=4.08

[解题关键和提示]

在上题的计算过程中,我们可以看到,在一次去掉两个小括号时,可同时

顺序。只要掌握这样一个原则,即简化运算过程后不影响运算的结果就可以了。

[解题关键和提示]

分数四则混合运算的运算顺序和整数四则混合运算的运算顺序相同。

解  原式=[1+0-1]×167

=0×167

=0

[解题关键和提示]

这样计算起来又快又准确。

[解题关键和提示]

此题根据运算顺序应先算乘,再算加和减。如果只看到题中某些数据的特

地先算加和减,后算乘,违反了原题的运算顺序,结果就会出错。

[解题关键和提示]

前面小括号内“14.85-7.63=7.22”后,再计算后面的小括号,才发现等于“0”,这样则浪费不少时间。

[解题关键和提示]

计算此题时,对中括号里的“0.24÷0.21”,应如何处理呢?应从整体

[解题关键和提示]

特殊数,它们的积等于1。

[解题关键和提示]

在四则混合运算中,并非凡是能用运算性质、定律的,就一定要用一下。用还是不用,要看是不是有利于使计算简便。此题中的两种解法相比,显然,直接计算(解法二)要简便得多。

[解题关键和提示]

0.625×1.6是一对特殊的数值相乘,不要盲目计算,可以把0.625化成

是相同数相除,它们的商等于1。

[解题关键和提示]

[解题关键和提示]

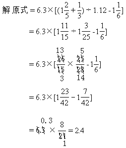
此题计算步骤较多,容易出错,计算时要一步步认真去做,中括号内的两个小数,必须化成分数才能计算,而6.3则不要化成分数,与中括号内的计算结果可直接约分。

[解题关键和提示]

此题中小括号内是同级运算,可直接通分,一次计算。

★★★例27 化简:

[解题关键和提示]

此题中分子、分母都是小数,可根据分数的基本性质,把分子和分母同时扩大相同的倍数,去掉小数点,然后再约分,这样不容易出错。

[解题关键和提示]

从下往上计算。

典型题库

试题详情

★1.老师在黑板上画了一条40厘米的(   )。

A.直线  B.射线  C.线段

★★2.1、2、3、4、6和12都是12的(   )。

A.约数  B.公约数  C.质因数

★★★3.(   )不但可以表示出数量的多少,而且能够清楚地表示出数量增减变化的情况。

A.条形统计图

B.折线统计图

C.扇形统计图

★★4.一个三角形,三个内角度数比是2∶3∶5,这个三角形是(   )。

A.锐角三角形

B.直角三角形

C.钝角三角形

★★5.两组对边分别平行的四边形叫做(   )。

A.长方形    B.正方形

C.平行四边形  D.梯形

★★★6.甲数是5,乙数比甲数多3,乙数比甲数多百分之几?列式是(   )。

A.(5-3)÷5  B.(5+3)÷5  C.3÷(5+3)

D.3÷(5-3)  E.3÷5

试题详情

★★1.相邻的两个自然数一定是互质数。(   )

★★2.两个数的最小公倍数一定分别大于这两个数。(   )

★★3.修一条路,已修的长度和未修的长度是两种相关联的量。(   )

★★4.角的大小与边的长短没有关系。(   )

★★5.如果甲数是乙数的6倍,那么甲数就是乙数的倍数。(   )

★6.被除数一定,商和除数成反比例。(   )

★★7.任何数的倒数都比它本身大。(   )

 

★★★11.任何一个自然数至少有两个约数。(   )

试题详情


同步练习册答案