题目列表(包括答案和解析)

 0  122364  122372  122378  122382  122388  122390  122394  122400  122402  122408  122414  122418  122420  122424  122430  122432  122438  122442  122444  122448  122450  122454  122456  122458  122459  122460  122462  122463  122464  122466  122468  122472  122474  122478  122480  122484  122490  122492  122498  122502  122504  122508  122514  122520  122522  122528  122532  122534  122540  122544  122550  122558  447348 

21.设NA表示阿佛德罗常数,下列说法正确的

A.23gNO2和N2O4混合气体中含有原子数为1.5NA

 B.标准状况下,22.4L水所含的分子数NA

C.常温常压下,7.1g氯气与足量NaOH溶液反应转移的电子数为0.2NA

D.在常温常压下,11.2L氧气所含的原子数目为NA

试题详情

20.纳米Ti02具有超亲水性,是一种光催化剂。如果将纳米TiO2涂敷在建筑物墙面或窗玻璃上,污物可被雨水清洗干净。如果将纳米TiO2分散在水中,得到的分散系不可能具有的性质是

A.有电泳现象               B.有丁达尔现象

C.能全部透过滤纸              D.能全部透过半透膜

试题详情

19.下列化学用语错误的是

A.Cl-的结构示意图为            B.CO2分子的电子式为 

C.麦芽糖的分子式C12H22O11         D.乙醇的结构简式为CH3CH2OH

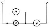
试题详情

18.如图所示,一根长直导线穿过载有恒定电流的金属圆环的中心且垂直于环的平面,导线和环

中的电流方向如图所示,那么金属环受到的磁场力为

A.沿圆环的半径向外   

B.沿圆环的半径向内

C.水平向左       

D.等于零

试题详情

17. 如图所示,电子在电势差为U1的加速电场中由静止开始运动,然后射入电势差为U2、长为L、

两板间距为d的偏转电场中,入射方向跟极板平行,整个装置处在真空中,重力可忽略,在满足电子能射出平行板区的条件下,电子的偏转角的表达式为

A.       B.    

C.       D.

试题详情

16. 平行板电容器的电容为C,带电荷量为Q,板间距离为d,今在靠近正极板处放一电荷q,则它所受电场力的大小为

   A.       B.       C.      D.

试题详情

15.用伏安法测灯泡电阻时,若将电流表和电压表的位置接成如图所示电路,可能出现的情况是

   A.电流表烧坏   

   B.电压表示数为零

   C.灯泡不亮    

   D.灯泡烧坏

试题详情

14.一辆汽车从车站由静止出发,沿平直公路行驶,若汽车发动机的输出功率保持不变,汽车所受的阻力也保持不变,下列说法正确的是

A.汽车将做匀速直线运动  

B.汽车将做匀加速直线运动

C.汽车将做加速度越来越大的变加速直线运动

D.当汽车的牵引力等于阻力时,汽车的速度达最大值

试题详情

13.在“测定匀变速直线运动加速度”的实验中,得到的记录纸带如下图所示,图中的点为记数

点,在每两相邻的记数点间还有4个点没有画出,则小车运动的加速度为

A.0.2m/s2          B.2.0m/s2           C.20.0m/s2          D.200.0m/s2

试题详情

12.宇航员在月球上做自由落体实验,将某物体由距月球表面高h(远小于月球半径R)处释放,经时间t后落到月球表面(设月球半径为R)。据上述信息推断,飞船在月球表面附近绕月球做匀速圆周运动所必须具有的速率为

A.      B.      C.      D.

试题详情


同步练习册答案