题目列表(包括答案和解析)

 0  122566  122574  122580  122584  122590  122592  122596  122602  122604  122610  122616  122620  122622  122626  122632  122634  122640  122644  122646  122650  122652  122656  122658  122660  122661  122662  122664  122665  122666  122668  122670  122674  122676  122680  122682  122686  122692  122694  122700  122704  122706  122710  122716  122722  122724  122730  122734  122736  122742  122746  122752  122760  447348 

19.如图所示电路中,电源E的电动势为9V,电阻R的阻值为30Ω,小灯泡L的额定电压为6.0V,额定功率为6.0W,当电键S接位置1时,电压表的读数为6V,那么当电键S接到位置2时,小灯泡L的发光情况是

A.正常发光略亮

B.很暗,甚至不亮

C.正常发光

D.有可能被烧坏

试题详情

18.如图所示,一带电物体处在一个斜向上的匀强电场中,由静止释放后开始沿粗糙的天花板水平向左做匀加速直线运动,下列说法中正确的是

A.物体带负电

B.物体一定受摩擦力的作用

C.物体的电势能一定减小

D.沿物体的运动方向,电势逐渐升高

试题详情

17.如图所示,质量为m的小物块在与水平方向成α角的力F作用下,沿光滑水平面运动,物块通过A点和B点的速度分别是vAvB,,物块由A运动到B的过程中,力F对物块做功W和力F对物块作用的冲量I的大小是

A.W   B.W

C.ImvBmvA           D.ImvBmvA如图所示,一根不可伸长的轻绳

试题详情

16.如图所示,木板放在粗糙的水平面上,木块放在的上面,的右端通过一不可伸长的轻绳固定在直立墙壁上,用水平力向左拉动,使以速度做匀速运动,这时绳水平且张力为,下面说法正确的是

A.

B.木块A受到的是静摩擦力,大于等于

C.木板受到一个静摩擦力,一个滑动摩擦力,合力大小等于

D.若木板以2的速度匀速运动,则拉力仍为F

试题详情

15.某人在时刻时,观察一个正做匀加速直线运动的质点,现只测出了该质点在第2s内及第5s内的位移,则下列说法正确的是

A.不能求出任一时刻的瞬时速度              B.能求出任一时刻的瞬时速度

C.不能求出第4s内的位移                  D.能求出该质点的加速度

试题详情

14.如图所示,图甲为沿轴传播的一列水波在时刻的波动图象,图乙为2m处的质点P的振动图象,则下列判断正确的是

A.该波传播的速度为4m/s

B.该波的传播方向沿轴正方向

C.经过0.5s时间,质点P将移动到4m位置处

D.该波在传播过程中,若遇到水面上线度为40m的障碍物,能发生明显衍射现象

试题详情

13. 恒温、恒压下,l mol A和2mol B在一个容积可变的容器中发生如下反应:A(g)+2B(g)2C(g),一段时间后达到平衡,生成n mol C。则下列说法中正确的是

A.物质A、B的转化率之比为1∶2

B.起始时刻和达到平衡后容器中的压强比为3∶(3-n/2)

C.若起始时放入2mol A和5 mol B,则达到平衡时生成2n mol的C

D.当时,可确定反应达到平衡

试题详情

12.已知在101KPa时:则下列说法中正确的是

A.反应过程中的能量变化关系可用右图表示

B.CH4的燃烧热是820 kJ

C.11.2L(标准状况下)CH4完全燃烧生成气态水时放出410 kJ 热量

D.该反应发生断裂的化学键只有极性键

试题详情

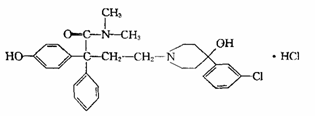
11.盐酸洛派丁胺俗称易蒙停,它是一种新型的止泻药,适用于各种急慢性腹泻的治疗,其结构简式如图:  下列说法不正确的是

A.易蒙停的分子式为C29H34Cl2N2O3

   B.向易蒙停溶液中加入FeCl3溶液,溶液显紫色

  C.1mol易蒙停不止与lmolNaOH发生反应

  D.lmol易蒙停最多能与3mol溴水发生反应

试题详情

10.25℃时,在25mL0.1mol/L的氢氧化钠溶液中,逐滴加入0.2mol/LCH3COOH,溶液的pH的变化曲线如图所示,下列分析的结论正确的是

A.若B点的横坐标a=12.5,且有c(Na+)=c(CH3COO-)

B.C点时,c(CH3COO-)=c(Na+)>c(H+)= c(OH-)

C.D点时,c(CH3COO-) + c(CH3COOH)== c(Na+)

D.对曲线上A、B间任何一点,溶液中都有:c(Na+)>c(OH-)>c(CH3COO-)>c(H+)

试题详情


同步练习册答案