题目列表(包括答案和解析)

 0  122952  122960  122966  122970  122976  122978  122982  122988  122990  122996  123002  123006  123008  123012  123018  123020  123026  123030  123032  123036  123038  123042  123044  123046  123047  123048  123050  123051  123052  123054  123056  123060  123062  123066  123068  123072  123078  123080  123086  123090  123092  123096  123102  123108  123110  123116  123120  123122  123128  123132  123138  123146  447348 

14.下列有关热现象的叙述中正确的是                                  (   )

    A.当气体膨胀时,气体分子之间的势能减小,因而气体的内能减少。

    B.随着技术的进步,热机的效率可以达到100%;制冷机也可以使温度降到-280℃

    C.一定质量的理想气体,先保持压强不变而膨胀,再进行绝热压缩,其内能必定增加。

    D.分子力随分子间距离的增大而减小,随分子间距离的减小而增大。

试题详情

13.如图,在注射器中加入少量Na2SO3晶体,并吸入少量浓硫酸(以不接触纸条为准)。则下列有关说法错误的是 

A.湿润淀粉KI试纸不变蓝色

B.品红试纸.沾有KMnO4溶液滤纸均褪色都能

证明SO2的漂白性

C.NaOH溶液可用于除去实验中多余的SO2

D.蓝色石蕊试纸变红证明SO2的水溶液显酸性

试题详情

12.pH=3的盐酸与pH=11的氨水等体积混合,溶液中离子浓度关系正确的是

A.[NH4+]>[Cl-]>[H+]>[OH-]           B.[Cl-]>[NH4+]>[OH-]>[H+]

C.[Cl-]>[NH4+]>[H+]>[OH-]            D.[NH4+]>[Cl-]>[OH-]>[H+]

试题详情

11.化学用语是学习化学的重要工具。下列用来表示物质变化的化学用语中,正确的是

A.钢铁腐蚀时可能发生的正极反应:4OH--- 4e- = 2H2O + O2

B.表示H2 燃烧热的热化学方程式:2H2(g)+O2(g)=2H2O(g);△H=-483.6 kJ/mol

C.纯碱水解的离子方程式:CO32- + H2O   HCO3- + OH-

D.将少量SO2气体通入NaClO溶液中的离子方程SO2+2ClO+H2O=SO32+2HClO

试题详情

10.氯气溶于水达到平衡后,若其他条件不变,只改变某一条件,下列叙述正确的是

A.再通入少量氯气,c(H+)/c(ClO)减小

B.通入少量SO2,溶液漂白性增强

C.加入少量固体NaOH,一定有c(Na+)=c(Cl)+c(ClO)

D.加入少量碳酸钠粉末,次氯酸浓度增大

试题详情

9.阿伏加德罗常数约为6.02×1023 mol1,下列叙述正确的是

A.室温下42.0 g乙烯和丙烯的混合气体中含有的碳原子数约为3×6.02×1023

B.25 ℃时,1 L  pH=13的NaOH溶液中约含有6.02×1023个氢氧根离子

C.标准状况下,2.24 L苯中约含有3.612×1023个碳原子

D.1.0 L 1.0 mol/L CH3COOH溶液中CH3COOH分子数为6.02×1023

试题详情

8.下列各组中的两种物质相互反应时,无论哪种过量,都可以用同一个离子方程式表示的是①碳酸钠溶液与盐酸;   ②偏铝酸钠溶液与盐酸;    ③苯酚钠溶液和CO2;    ④硝酸银溶液和氨水;    ⑤氯化铝溶液与氨水。

A.③⑤           B.①③            C.仅有⑤          D.②④

试题详情

7.给50mL某液体加热的操作中,以下仪器必须用到的是

①试管②烧杯③酒精灯④试管夹⑤石棉网⑥铁架台⑦泥三角⑧坩埚

A.②③⑤⑧        B.③⑥⑦⑧        C.②③⑤⑥        D.①③④⑥

试题详情

6.我国神七载人航天飞船在2008年9月25日21时10分发射成功。“神舟七号”所用动力燃料之一为氢化锂三兄弟-LiH.LiD.LiT。其中Li的质量数为7,有关下列叙述中正确的是

A.三种物质质子数之为1:2:3          B.三种物质中子数之比为1:1:1

C.三种物质的摩尔质量之比为8:9:10          D.三种物质的化学性质不相同

试题详情

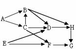
5.右图是一个陆生生态系统食物网的结构模式图,下列各项叙述中,不正确的是:

A.此生态系统中的生产者不止一个。

B.从食物链A→C→B→D→H →G上,G获得的能量最少。

C.若C种群数量下降10%,H种群不会发生明显的变化。

D.既存在竞争关系又存在捕食关系的只有D与H.

试题详情


同步练习册答案