题目列表(包括答案和解析)

 0  123095  123103  123109  123113  123119  123121  123125  123131  123133  123139  123145  123149  123151  123155  123161  123163  123169  123173  123175  123179  123181  123185  123187  123189  123190  123191  123193  123194  123195  123197  123199  123203  123205  123209  123211  123215  123221  123223  123229  123233  123235  123239  123245  123251  123253  123259  123263  123265  123271  123275  123281  123289  447348 

29.(15分)在一定条件下,二氧化硫和氧气发生如下反应:2SO2(g)+ O2 (g) 2SO3(g) ;△H<0

(1)600℃时,在一密闭容器中,将二氧化硫和氧气混合,反应过程中SO2、O2、SO3物质的量变化如图,反应处于平衡状态的时间是       

(2)据图判断,反应进行至20min时,曲线发生变化的原因是         (用文字表达);10min到15min的曲线变化的原因可能是   (填写编号)。

A.加了催化剂  B.缩小容器体积  C.降低温度  D.增加SO3的物质的量

(3)下列是某研究机构的研究成果

硫酸工业的原料气是二氧化硫、氧气及大量的氮气,根据下列两幅图表,解读正确的选项是________(填写字母序号)

A.SO2浓度高大,生产工艺复杂,生产成本反而会增加 

B.生成规模大,气体用量多,生产成本就越低

C.SO2转化率越大,生产成本越低 

D.适量加入催化剂,可大大提高SO2的转化率

II.水煤气 (主要成分:CO、H2 ) 是重要燃料和化工原料,可用水蒸气通过炽热的炭层制得。己知:

C (s) + H2O(g) CO (g) +H2 (g);△H =+131.3kJ•mol1

C (s)  + O2(g)=CO (g);△H = -110.5kJ·mo1-1

CO(g) + O2(g) =CO2 (g);△H =-283.0 kJ·mo1-1

H2 (g) + O2 (g) =H2O (g);△H = -241.8kJ·mo1-1

H2 (g) + O2 (g) =H2O (l);△H = -285.8kJ·mo1-1

 (1)由CO、H2在一定条件下可获得汽油的替代品--甲醇,甲醇的燃烧热为-726.5 kJ/mol,试写出由CO、H2生成甲醇的热化学方程式    _______________________

(2)甲醇-NaOH溶液-空气燃料电池已广泛的应用,试写出其负的电极反应式     

30(20分).下图一表示绿色植物叶肉细胞内发生的光合作用和有氧呼吸的过程,其中a、b为光合作用的原料,①-④表示相关过程。图二、图三表示外界相关条件对植物光合作用和呼吸作用的影响。请据图回答:

        

(1) 图一中②③过程进行的场所分别是              

(2) ①过程中产生的[H]用于③过程         

(3) 若将该植物从CO2浓度为0.03%环境转移到CO2浓度为0.5%的环境中,其他环境条件不变,叶绿体中C5含量将      。如果在图二的乙点突然停止光照,叶绿体内C3化合物的含量将__________。

(4)图三中,真光合速率=净光合速率+呼吸速率。40℃时植物体   (填“能”或“不能”)显示生长现象;而5℃时的状态可用图二中    点表示。

(5)用大棚种植蔬菜时,白天最好控制光强为图二中的     点对应的光照强度,温度为图三中的     ℃最佳。

(6)科学实验表明,植物叶片上气孔的开闭与保卫细胞中脱落酸(ABA)的含量多少密切相关。进一步的研究证实,ABA具有明显促进气孔关闭的作用。

为了验证ABA可以导致叶片气孔的关闭,请完成以下实验,并回答相关问题。

材料用具:新鲜菠菜叶、镊子、滴管、吸水纸、清水、载玻片、盖玻片、显微镜、适宜浓度的ABA溶液等。

实验步骤:

①制片:在一洁净的载玻片中央滴一滴清水,用镊子从菠菜叶上撕取一小块表皮浸入载玻片上的液体中并展平,盖上盖玻片。

②镜检:将制成的临时装片置于低倍镜下观察并记录。

③处理:接着将上述临时装片盖玻片的一侧滴ABA溶液,在另一侧用吸水纸吸引、重复几次。

④镜检:将经过步骤③处理过的临时装片,再置于低倍镜下进行观察和记录。

请回答:

①预测两次镜检观察结果的不同之处:        

②若要在高倍镜下观察气孔关闭时保卫细胞的形态结构。则要先在低倍镜下找到一个气孔,并将它移到     ,转动转换器,换上高倍镜,用细准焦螺旋把视野调整清晰。

试题详情

28.(14分)某高聚物的单体A(C10H10O2)可发生以下变化;已知D分子结构中无-CH3,F的分子式为C7H8O,含苯环,与FeCl3溶液不显色。

请回答:

(1)B表示分子中含有的官能团是________________、________________。

(2)若C→D发生的是一取代,则D在NaOH溶液中反应后的产物发生聚合反应生成的高聚物的结构简式为           

(3)A的结构简式是______________________。

(4)用方程式表示F→G、_____________________________________

试题详情

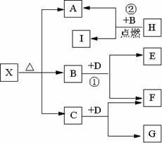
27.(15分)现有五种1-20号元素组成A-I纯净物(试剂X除外),转化关系如下:

相关信息有:

(a)反应④产生白色沉淀,且M(H)=143.5g/mol;

(b) 常温下,A、I都是气态单质,且A和I的一种同素异形体都能使湿润的有色布条褪色且都能用于饮用水消毒。

(c) 1molB含28mole-.反应③属于分解反应。

(d)C是由第三周期的两种元素组成原子个数比为1:3型化合物。

(1)B的电子式为    。试剂X的名称为       。反应②离子方程式:     

(2)写出反应③的化学方程式:         ;上述所有物质形成的晶体类型有    (选填:分子晶体、离子晶体、原子晶体)

(3)C溶液中阴离子浓度与阳离子浓度之比   3(填:大于、小于或等于);简述实验室用C晶体配制3mol/L的C溶液的操作方法是       

(4)写出G与C溶液混合的离子方程式:     

试题详情

26.Ⅰ(10分)有A、B、C、D、E五种短周期元素,它们的原子序数依次增大,A元素的原子是半径最小的原子。B元素的最高价氧化物的水化物与其氢化物反应生成一种盐X,D与A同族,且与E同周期,E元素的最外层电子数是次外层电子数的3/4倍。A、B、D、E这四种元素,每一种都能与C元素形成原子个数比不相同的多种化合物。回答下列问题:

(1)写出相应元素符合,A___________B_______  C_________  E_________

(2)由A、C、D、E四种元素所组成的一种中学常见的化合物,它既能与盐酸反应,又能与NaOH溶液反应,在这种化合物的水溶液中,滴入紫色石蕊试液出现红色,则溶液中离子浓度由大到小的排列顺序为:             

(3)将铝片和镁片。插入由A、C、D三种元素组成物质的稀溶液中构成原电池,则负极的电极反应式为         

Ⅱ(6分)已知X是一种盐,H是常见金属单质,F、I是常见非金属单质,E、G都是工业上重要的碱性物质,它们有右图所示的关系。

试回答下列问题

(1)G的化学式为:           。

(2)写出下列反应的化学方程式

                  ②               

试题详情

25.(20分)如图所示,空间某平面内有一条折线是磁场的分界线,在折线的两侧分布着方向相反、与平面垂直的匀强磁场,磁感应强度大小都为B.折线的顶角∠A=90°,PQ是折线上的两点,AP=AQ=L.现有一质量为m、电荷量为q的带负电微粒从P点沿PQ方向射出,不计微粒的重力.

(1)若PQ间外加一与磁场方向垂直的匀强电场,能使速度为v0射出的微粒沿PQ直线运动到Q点,则场强为多大?

(2)撤去电场,为使微粒从P点射出后,途经折线的顶点A而到达Q点,求初速度v应满足什么条件?

(3)求第(2)中微粒从P点到达Q点所用时间的最小值.

试题详情

24.(19分)如图,足够长的水平传送带始终以大小为v=3m/s的速度向左运动,传送带上有一质量为M=2kg的小木盒AA与传送带之间的动摩擦因数为μ=0.3,开始时,A与传送带之间保持相对静止。先后相隔t=3s有两个光滑的质量为m=1kg的小球B自传送带的左端出发,以v0=15m/s的速度在传送带上向右运动。第1个球与木盒相遇后,球立即进入盒中与盒保持相对静止,第2个球出发后历时△t1而与木盒相遇。求(取g=10m/s2)

(1)第1个球与木盒相遇后瞬间,两者共同运动的速度是多大?

(2)第1个球出发后经过多长时间与木盒相遇?

(3)自木盒与第1个球相遇至与第2个球相遇的过程中,由于木盒与传送带间的摩擦而产生的热量是多少?

试题详情

23.(15分)考驾照需要进行路考,路考其中有一项是定点停车。路旁可以竖一标志杆,在车以V0的速度匀速行驶过程中,距标志杆的距离为s时,考官命令考员到标志杆停,考员立即刹车,车在恒定滑动摩擦力作用下做匀减速运动,已知车(包括车内的人)的质量为M,车与路面的动摩擦因数为μ。车视为质点,求车停下时距标志杆的距离(说明V0Sμ、g的关系)。

试题详情

22.(18分)

(1).14.1)(4分)、读出游标卡尺和螺旋测微器的读数:

①图8的读数为___  _   _cm.  ②图9读数为_  ____    _cm。

(2)某同学要测量一节旧电池的电动势和内阻,实验器材有一个电流表、一个电阻箱R、一个2Ω的定值电阻R0,一个开关和导线若干,该同学按如图所示电路进行实验,

测得的数据如下表所示:

实验次数
1
2
3
4
5
R(Ω)
2.0
8.0
14.0
20.0
26.0
I(A)
1.00
0.50
0.34
0.25
0.20

①电路中定值电阻R0的作用是:______________________________________。

②该同学为了有作图法来确定电池的电动势和内阻,若将

R作为直角坐标系的纵坐标,则应取____________作为横

坐标。

③利用实验数据在给出的直角坐标系上画出正确的图象。

④由图象可知,该电池的电动势E=     V,

内阻r=   Ω;

试题详情

21.在图甲、乙、丙三图中,除导体棒ab可动外,其余部分均固定不动,甲图中的电容器

C原来不带电.设导体棒、导轨和直流电源的电阻均可忽略,导体棒和导轨间的摩擦也不

计,图中装置均在水平面内,且都处于方向垂直水平面(即纸面)向下的匀强磁场中,导

轨足够长.今给导体棒ab一个向右的初速度u0 ,在甲、乙、丙三种情形下导体棒ab

最终运动状态是(   )

  A.三种情形下导体棒ab最终均做匀速运动

B.甲、丙中ab棒最终将以不同的速度做匀速运动;乙中,ab棒最终静止

C.甲、丙中,ab棒最终将以相同的速度做匀速运动;乙中,ab棒最终静止

D.三种情形下导体棒ab最终均静止

第Ⅱ卷  非选择题(共174分)

试题详情

20.如图所示,内壁光滑的绝缘材料制成圆轨道固定在倾角为θ的斜面上,与斜面的交点是A,直径AB垂直于斜面,直径CD和MN分别在水平和竖直方向上,它们处在水平方向的匀强电场中,质量为m、电荷量为q的小球(可视为点电荷)刚好能静止于圆轨道内的A点,现对在A点的该点电荷施加一沿圆环切线方向的瞬时速度,使其恰能绕圆环完成圆周运动。下列对该点电荷运动的分析,正确的是(    )

A.小球运动到B点时动能最小

B.小球运动到D点时机械能最小

C.从A到B重力做的功等于电势能变化量与动能变化量之和

D.从A到B重力做的功小于电势能变化量与动能变化量之和

试题详情


同步练习册答案