题目列表(包括答案和解析)

 0  123203  123211  123217  123221  123227  123229  123233  123239  123241  123247  123253  123257  123259  123263  123269  123271  123277  123281  123283  123287  123289  123293  123295  123297  123298  123299  123301  123302  123303  123305  123307  123311  123313  123317  123319  123323  123329  123331  123337  123341  123343  123347  123353  123359  123361  123367  123371  123373  123379  123383  123389  123397  447348 

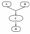
5.右图表示某种生命活动中的一种调节机制。下列有关该图含义的说法正确的是   (   )

A.若甲代表下丘脑,则乙代表的是垂体B.若甲代表排尿反射中枢,则乙代表的结构是膀胱

C.若甲代表胰岛B细胞,则乙代表的物质是胰岛素D.若甲代表下丘脑,则乙代表甲状腺

试题详情

4. 在浮游植物→浮游动物→鱼这条食物链中,碳是以哪种形式流动的  (   )

A.二氧化碳    B.有机物     C.碳酸盐     D.二氧化碳和有机物

试题详情

3.如图是一个反射弧的部分结构图、甲、乙表示连接在神经纤维上的电流表。当在A点以一定的电流刺激,甲、乙电流表的指针发生的变化正确的是

A.甲、乙都发生两次方向相反的偏转

B.甲发生两次方向相反的偏转,乙不偏转

C.甲不偏转,乙发生两次方向相反的偏转

D.甲发生一次偏转,乙不偏转

试题详情

2.(广东江门2008高三调研,20)下图表示一段离体神经纤维的S点受到刺激而兴奋时,局部电流和神经兴奋的传导方向(弯箭头表示膜内、外局部电流的流动方向,直箭头表示兴奋传导方向),其中正确的是(   )

试题详情

1. 在细胞免疫中,效应T细胞发挥免疫作用的机制是

A.与抗原结合使其失去活性  B.直接吞噬靶细胞将其分解

C.将抗原呈递给B淋巴细胞D.与靶细胞密切接触,导致靶细胞裂解

试题详情

31.(共16分)通过实验的方法研究洋葱根尖细胞有丝分裂过程,得出下面所示的结果,其中图甲表示有丝分裂阶段细胞核中DNA和细胞质中信使RNA含量的变化,图乙是有丝分裂显微照片。据图回答下列问题:

(1)在放射性同位素标记研究中,为区别DNA和RNA,最好选择标记的物质依次是   

                ,研究选择的材料是根尖的        部位。

(2)图甲结果表明:细胞核中染色单体的形成是在      阶段完成的,细胞分裂过程中核糖体功能最活跃的时期是      阶段(填字母)。从分子水平看,细胞分裂间期核内的主要变化是               

(3)图甲中d、e阶段细胞质中mRNA明显减少,最可能的原因是            。

(4)使用显微镜观察有丝分裂装片时,欲把乙图中的A细胞移到视野中央,具体操作是             

(5)用加入一定量的苯的蒸馏水,培养洋葱根尖一段时间,观察有丝分裂中期染色体的形态和数目。实验目的可能是                    

试题详情

30.Ⅰ(14分)下图为人体某早期胚细胞所经历的生长发育阶段示意图,图中①-⑥为各个时期的细胞,a-c 表示细胞所进行的生理过程。请回答:

(1)与①相比,②的表面积/体积比值     ,与外界环境进行物质交换的能力        

(2)图中b、c过程分别称为                ,如果不能正常完成c过程,则③④均可能成为            

(3)若⑤⑥已失去分裂能力,则其细胞内遗传信息的主要传递方向为         

(4)图中①-⑥各细胞中的DNA和m RNA相同吗?                

Ⅱ(12分)右图为细胞融合的简略过程,请据图回答: 

(1)若A、B是植物细胞,在细胞融合之前已用____   _______处理,除去了细胞壁;A、B到细胞C的过程中,常用的诱导剂是         。融合完成的标志是________     ___。 

(2)若A、B是植物细胞,则形成的D细胞还要应用________  ___技术把D培养成植株。                                  

(3)若A、B是动物细胞,一般取自____      _,然后用__________使其分散开来。

(4)若该过程是制备单克隆抗体,A为小鼠B淋巴细胞,那么在获得此细胞之前,小鼠已被注射了________。注射后小鼠身体产生了相应的免疫反应,生成了___________。图中B为___________。 

(5)若该过程仍是制备单克隆抗体,在AB到C的过程,所形成的C有     种类型,用来培养的D细胞应该是___________。从中选择出它的方法是           培养。

试题详情

29.(16分)过氧化氢是重要的氧化剂、还原剂,它的水溶液又称为双氧水,常用作消毒、杀菌、漂白等。某化学兴趣小组取一定量的过氧化氢溶液,准确测定了过氧化氢的含量,并探究了过氧化氢的性质。

Ⅰ. 测定过氧化氢的含量     请填写下列空白:

(1)移取10.00 mL密度为ρ g/mL的过氧化氢溶液至250 mL ____  __(填仪器名称)中,加水稀释至刻度,摇匀。移取稀释后的过氧化氢溶液25.00mL至锥形瓶中,加入稀硫酸酸化,用蒸馏水稀释,作被测试样。

(2)用高锰酸钾标准溶液滴定被测试样,其反应的离子方程式如下,请将相关物质的化学计量数及化学式填写在方框里。□MnO4- + □H2O2 + □H+ === □Mn2+ + □H2O + □

(3)滴定时,将高锰酸钾标准溶液注入____  ___(填“酸式”或“碱式”)滴定管中。滴定到达终点的现象是___________________________________。

(4)重复滴定三次,平均耗用c mol/L KMnO4标准溶液V mL,则原过氧化氢溶液中过氧化氢的质量分数为_________________。

(5)若滴定前滴定管尖嘴中有气泡,滴定后气泡消失,则测定结果_____  ____(填“偏高”、“偏低”或“不变”)。

Ⅱ. 探究过氧化氢的性质 

 该化学小组根据所提供的实验条件设计了两个实验,分别证明了过氧化氢的氧化性和不稳定性。(实验条件:试剂只有过氧化氢溶液、氯水、碘化钾淀粉溶液、饱和硫化氢溶液,实验仪器及用品可自选。)   请将他们的实验方法和实验现象填入下表:

实 验 内 容
实 验 方 法
实 验 现 象
验证氧化性
 
 
验证不稳定性
 
 

试题详情

28.(18分)已知周期表中,元素Q、R、W、Y均与元素X相邻。Y的最高价氧化物的水化物是强酸。回答下列问题:

(1)W与Q可以形成一种高温结构陶瓷材料,W的氯化物分子呈正四面体结构,W的氧化物的晶体类型是       

(2)Q的具有相同化合价且可以相互转化的氧化物是                

(3)R和Y形成的二价化合物中,R呈现最高化合价的化合物的化学式是       

(4)这5种元素的氢化物分子中,① 分子结构类型相同的氢化物的沸点从高到低排列顺序是(填化学式)             ,其原因是                 

② 电子总数相同的氢化物的化学式是              ,其分子结构分别是                    

(5)W和Q所形成的结构陶瓷材料的一种合成方法如下: W的氯化物与Q的氢化物加热反应,生成化合物W(QH2)4和HCl气体;W(QH2)4在高温下分解生成Q的氢化物和该陶瓷材料。上述相关反应的化学方程式(各物质用化学式表示)是                

                   

试题详情

27.(14分)某无色溶液,其中可能存在的离子如下:Na+、Ag+ 、Ba2+ 、Al3+ 、AlO2-、S2 、CO2–3 、SO2–3  、SO2–4 。现取该溶液进行有关实验,实验结果如下图所示:    

请回答下列问题:

(1)沉淀甲是       ,生成沉淀的离子方程式               。

(2)沉淀乙是       ,由溶液甲生成沉淀乙的离子方程式          。

(3)沉淀丙是       ,如何用一化学实验来确定其成分           。

(4)综合上述信息,可以肯定存在的离子有                   。

试题详情


同步练习册答案