题目列表(包括答案和解析)

 0  123292  123300  123306  123310  123316  123318  123322  123328  123330  123336  123342  123346  123348  123352  123358  123360  123366  123370  123372  123376  123378  123382  123384  123386  123387  123388  123390  123391  123392  123394  123396  123400  123402  123406  123408  123412  123418  123420  123426  123430  123432  123436  123442  123448  123450  123456  123460  123462  123468  123472  123478  123486  447348 

25. (18分) 如图,半径R=0.50m的光滑圆环固定在竖直平面内。轻质弹簧的一端固定在环的最高点A处,另一端系一个质量m=0.20kg的小球。小球穿在圆环上。已知弹簧的原长为,劲度系数K=4.8N/m。将小球从如图所示的位置由静止开始释放。小球将沿圆环滑动并通过最低点C,在C点时弹簧的弹性势能。求:

(1)小球经过C点时的速度的大小。

(2)小球经过C点时对环的作用力的大小和方向。

试题详情

24. (15分) 质量为m的物体,沿一固定斜面自由下滑时,加速度大小为a1=4m/s2;给它初速度向上滑行时,加速度大小为a2=6m/s2。试求:(1)斜面的倾角θ;(2)物体与斜面间的动摩擦因数μ。

试题详情

23.(10分)设计一个实验来研究轻弹簧的弹性势能与弹簧长度改变量之间的关系,实验步骤如下:(1)在离地面高度为h的光滑水平桌面上,沿着与桌子边缘垂直的方向放置一轻弹簧,其左端固定,右端与一质量为m的小钢球接触。当弹簧处于自然长度时,小球恰好在桌子边缘;

(2)如图所示,让小球向左压缩弹簧一段距离后,由静止释放,使小球沿水平方向射出桌面,小球在空中飞行后落到水平地面,水平射程为s;测出弹簧的压缩量x与对应的小球飞行的水平距离s的实验数据如下表所示。

弹簧长度压缩量(cm)
1.00
1.50
2.00
2.50
3.00
3.50
小球飞行水平距离(m )
1.01
1.50
2.01
2.48
3.01
3.50

试求(1)推导弹簧的弹性势能EP与小球质量m、桌面离地的高度h、水平距离s等物理量的关系式。

(2)猜测弹簧的弹性势能EP与弹簧长度的压缩量x之间的关系。

试题详情

22. (8分)某同学在“测匀变速直线运动的加速度”的实验中,用打点计时器记录了被小车拖动的纸带的运动情况,在纸带上确定出A、B、C、D、E、F、G共7个计数点.其相邻点间的距离如图(1)所示,每两个相邻的计数点之间的时间间隔为0.10s.

(1)试根据纸带上各个计数点间的距离,计算出打下B、C、D、E、F五个点时小车的瞬时速度,并将各个速度值填入下表(要求保留3位有效数字)

 
VB
VC
VD
VE
VF
数值
(m/s)
 
 
 
 
 

(2)将B、C、D、E、F各个时刻的瞬时速度标在如图所示的坐标纸上,并画出小车的瞬时速度随时间变化的关系图线.

(3)根据第(2)问中画出的v-t图线,求出小车运动的加速度为_______m/s2(保留2位有效数字)

 

试题详情

21. 如图所示是一个单摆的共振曲线(g=10m/s2),则

A.此单摆的摆长约为1m

B.此单摆的自由振动的周期约为0.5s

C.若摆长增大,共振曲线的峰将向上移动                       

D.若摆长增大,共振曲线的峰将向左移动

第II卷  非选择题

(共10题,共174分)

试题详情

20. 已知地球半径为R,地球表面的重力加速度为g,一颗离地面高度为R的人造地球卫星绕地球做匀速圆周运动,则

A.卫星的加速度大小为   B.卫星的线速度大小为

  C.卫星的角速度为   D.卫星的周期为

试题详情

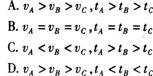
19. 在同一平台上的O点抛出的3个物体,做平抛运动的轨迹如图所示,则3个物体作平抛运动的初速度υA、υB、υC的关系分别是

试题详情

18. 用火箭将质量为m的卫星送入距离地球表面高度为h的轨道,并使卫星具有速度v,假设卫星的重力随高度的变化可以忽略,则关于外力对卫星做功的情况,以下判断正确的是            

A.卫星克服重力做功为       B.卫星克服重力做功为

C.火箭的推力对卫星做功为    D.合外力对卫星做功为

试题详情

17. 如图所示,木块A和B紧靠在光滑的水平面上,用水平力F1和F2同时推A和B,若F1=6N,F2=10N,mA<mB,则A、B间压力大小F的取值范围是

A.60N<F<8N              B.8N<F<10N    

C.6N<F<10N              D.F=8N

试题详情

16. 质量为m的长方形木块静止在倾角为θ的斜面上,那么木块对斜面作用力的方向是

A.沿斜面向下    B.垂直斜面向下   C.沿斜面向上    D.竖直向下

试题详情


同步练习册答案