题目列表(包括答案和解析)

 0  163376  163384  163390  163394  163400  163402  163406  163412  163414  163420  163426  163430  163432  163436  163442  163444  163450  163454  163456  163460  163462  163466  163468  163470  163471  163472  163474  163475  163476  163478  163480  163484  163486  163490  163492  163496  163502  163504  163510  163514  163516  163520  163526  163532  163534  163540  163544  163546  163552  163556  163562  163570  447348 

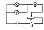
13.如图,为了描绘小灯泡的伏安特性曲线,两同学分别设计了甲、乙两种电路图,为了实现实验目的,应当选择电路   (甲、乙),闭合开关前滑动触头应位于变阻器的    (左、右)端。

试题详情

[    ]1、.两个半径均为1cm的导体球,分别带上+Q和-3Q的电量,两球心相距90cm,相互作用力大小为F,现将它们碰一下后,放回原处,则它们的相互作用力大小变为

 A.F   B.4F/3 C.F/3   D.3F翰林汇

[      ]2、A为已知电场中的一固定点,在A点放一电量为q的检验电荷,所受电场力为F,A点的场强为E,则

 A.若在A点换上-q,A点场强方向发生变化

 B.若在A点换上电量为2q的电荷,A点的场强将变为2E

 C.若在A点移去电荷q,A点的场强变为零

 D.A点场强的大小、方向与q的大小、正负、有无均无关

[    ]3、如图为某电场中的一条电场线,可以判定

A. A点电势一定高于B点电势

B. A点电势一定低于B点电势

C. A点的电场强度一定大于B点的电场强度

D. A点的电场强度可能大于B点的电场强度

[      ]4、图所示,在场强为E的匀强电场中有A、B两点,AB连线长L,与电场线夹角为α.则AB两点的电势差为

A.零     B.EL

C.ELsinα   D.ELcosα

[      ]5、把一个架在绝缘支座上的导体放在负电荷形成的电场中,导体处于静电平衡时:

A.A端的电势比B端的电势高.

B.A端的电势比B端的电势低.

C.A端的电势可能比B端的电势高,也可能比B端的电势低.

D.A端的电势与B端的电势相等.

[      ]6、对于给定的电容器,描述其电容C、电量Q、电压U之间相应关系的图应是图1中的

[      ]7.如图1所示为两电阻R1和R2的伏安特性曲线。若将两电阻并联在电路中,关于它们的电阻值及发热功率比较正确的是

 A.电阻R1的阻值较大

 B.电阻R2的阻值较大

 C.电阻R1的发热功率较大

 D.电阻R2的发热功率较大

[      ]8.把电阻是1欧姆的一根金属丝截成等长的十段,把这十段金属丝并联起来,这样并联的一组金属丝的总电阻是

A、0.01Ω    B、0.10Ω   C、10Ω     D、100Ω

[      ]9.在图4的电路中,U=8V不变,电容器电容C=200μF,R1∶R2=3∶5,则电容器的带电量为 [ ]

A.1×10-3C

B.1×10-4C

C.6×10-4C

D.1.6×10-3C

[      ]10、一个平行板电容器,它的电容:

A、跟正对的面积成正比,跟两板间的距离成正比.

B、跟正对的面积成正比,跟两板间的距离成反比.

C、跟正对的面积成反比,跟两板间的距离成正比.

D、跟正对的面积成反比,跟两板间的距离成反比.

[      ]11、两带电小球,电量分别为+q和-q,固定在一长度为L的绝缘细杆的两端,置于电场强度为E的匀强电场中,杆与场强方向平行,其位置如图所示.若此杆绕过O点垂直于杆的轴线转过180°,则在此转动过程中电场力做的功为

A、零,两电荷电势能不变

B、qEL两电荷的电势能增加

C、2qE,L两电荷的电势能减小

D、πqEL两电荷的电势能增加

[      ]12、在下图所示的电路中,当滑线变阻器的滑动触点向b端移动时,

A.伏特表V的读数增大,安培表A的读数减小.

B.伏特表V和安培表A的读数都增大.

C.伏特表V和安培表A的读数都减小.

D.伏特表V的读数减小,安培表A的读数增大.

试题详情

19、物块以v0=4米/秒的速度滑上光滑的斜面,作匀减速直线运动。途经AB两点,已知在A点时的速度是B点时的速度的2倍,由B点再经0.5秒物块滑到斜面顶点C处速度变为零,已知 A、B相距0.75米,求斜面的长度?

试题详情

15(8分)从距离地面80 m的高空自由下落一个小球,不计空气阻力, ,求:

(1)小球落地时间是多少?

(2)小球落地前最后1 s内的位移

16(8分)如图,AB两个物体的质量都是1kg,现在它们在拉力F的作用下相对静止一起向右做匀速直线运动,已知AB之间的滑动摩擦系数,B与地面的滑动摩擦系数,则两个物体在匀速运动的过程中,求:

(1)AB之间的摩擦力大小为多少?

(2)拉力F的大小为多少?

17.(10分)一个做匀加速度直线运动的质点,在最初两个连续的4s的时间内发生的位移分别为s1=24m,s2=64m.求质点运动的初速度和加速度。

18(10分)小明骑自行车以的速度匀速行驶,此时他的好朋友开着小轿车恰好从他身旁经过时发现了他,此时好朋友的车速为10m/s。好朋友立即关闭发动机刹车,加速度大小为,小明仍然以的速度匀速行驶,问小明要多长时间追上小轿车?

附加题:(不计入总分)

试题详情

12、下列小球或者木棒都处于静止状态,请画出小球或者木棒所受的全部力的受力示意图(第三个图,两个小球都要分析):

13如.质量为2Kg的物体放在水平地板上,用一轻弹簧水平拉物体,当它刚开始运动时,弹簧的伸长为3cm,当弹簧拉着物体匀速前进时,弹簧的长度伸长2cm,弹簧的劲度系数为200N/m。 g取10m/s2。则物体受到的最大静摩擦力   __  物体与水平间的动摩擦因数μ为___   ___    

14下图为物体运动过程的一条清晰纸带,纸带上两相邻计数点的之间还有四个点没有画出,交流电的频率为50Hz,其中x1=7.05cm、x2=7.68cm、x3=8.33cm、x4=8.95cm、x5=9.61cm、x6=10.26cm,则A点处瞬时速度的大小是   ___m/s,小车运动的加速度的大小是_______m/s2(计算结果保留两位有效数字)。

试题详情

11、甲、乙两车同时经过某路口同方向做直线运动,甲以4m/s的速度匀速运动,乙从此路口由静止开始以2m/s2的加速度做匀加速直线运动。从它们经过路口开始计时_______s后乙追上甲。在相遇前经过_________s,两物体间距离最大,最大距离是_________m.

试题详情

10、一列火车匀减速进站,停靠一段时间后又匀加速(同方向)出站。在如图所示的四个v-t图象中,正确描述了火车运动情况的是(   )

0

试题详情

9.如图所示,质量m=2kg的物体在动摩擦因数为0.1的水平面上向右运动,同时受到大小为20N,方向向左的水平力F的作用,则物体所受的摩擦力大小和方向是(g=10m/s2)

A 2N,向右   B2N,向左               

C 20N,向右   D22N,向左

试题详情

8、3、一个物体同时受到同一个平面内的三个共点力的作用,下列几组力中其合力可能为0的是(    )

  A.5N ,7N ,8N   B.2N ,3N ,5N  C.1N ,5N ,10N  D.1N ,10N ,10N

试题详情

7、用手握瓶子,使瓶子在竖直方向处于静止状态,如果握力加倍,则手与瓶子之间的摩擦力  (    )                

   A、也加倍   B、保持不变   C、方向向下   D、可能减小

试题详情


同步练习册答案