题目列表(包括答案和解析)

 0  165425  165433  165439  165443  165449  165451  165455  165461  165463  165469  165475  165479  165481  165485  165491  165493  165499  165503  165505  165509  165511  165515  165517  165519  165520  165521  165523  165524  165525  165527  165529  165533  165535  165539  165541  165545  165551  165553  165559  165563  165565  165569  165575  165581  165583  165589  165593  165595  165601  165605  165611  165619  447348 

24、(18分)如图所示,A、B、C为一等边三角形的三个顶点,某匀强电场的电场线平行于该三角形平面。现将点电荷q1=+10-8C从A点移到C点,电场力做功3×10-6J,将另一点电荷q2=-10-8C从A点移到B点,克服电场力做功3×10-6J。则  (1)电场线的方向如何?(保留作图痕迹)  (2)UAB、UAC、UBC各为多大?  (3)若AB边长为,求电场强度。

试题详情

23、(16分)

如图所示,在范围很大的水平向右的匀强电场中,一个带电量为-q的油滴,从A点以速度υ竖直向上射入电场.已知油滴质量为m,重力加速度为g,当油滴到达运动轨迹的最高点时,测得它的速度大小恰为υ/2.则:

(1)电场强度E为多大?

(2)A点到最高点的电势差为多少?

试题详情

22、(1)如图6所示,平行的两金属板M、N与电源相连,一个带负电的小球悬挂在两板间,闭合开关后,悬线偏离竖直方向的角度为θ。若保持开关K闭合,将N板向M板靠近,θ角将_____;若把开关K断开,再使N板向M板靠近,θ角将______。

(2)、如图所示,A、B两板间的匀强电场E=1.2×108N/C,两板相距5cm,P1离A板0.5cm,P2离B板0.5cm。若B板带正电荷且接地,则P1点的电势为________V,P2点的电势为________V。若有一电荷q=-2×10-6C从P1移到P2,电势能_______(填“增加”或“减少”)了_______J。

高&考%资(源#网

试题详情

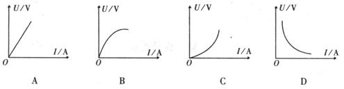
21、金属铂的电阻对温度的高低非常敏感,在下图所示

的U-I图象中,可以表示出金属铂电阻的U-I图线的是          (   )

试题详情

20、如图所示的电路中A、B是两块平行金属板,P是金属板间的一个点.先将开关S闭合给两金属板充电,然后再将开关断开.保持开关断开,B板不动,将A板移动到图中虚线所示的位置.用U1表示两金属板间的电势差,用U2表示P点与B板间的电势差.则(  )

A.U1减小,U2减小

B.U1减小,U2不变

C.U1减小,U2增大

D.U1不变,U2不变

试题详情

19、如图所示,空心导体上方有一靠近的带正电的带电体,当一个重力不计的正电荷以速度水平飞入空心导体内时,电荷将做[    ]

A.向上偏转的类似平抛运动

B.向下偏转的类似平抛运动

C.匀速直线运动

D.变速直线运动

R3
 
   

试题详情

18、关于等势面和电势能,下述说法正确的是(    )

A.在同一等势面上移动电荷,电场力不做功   

B.等势面上各点场强大小不一定相等

C.电场中电势越高处,电荷的电势能不一定越大   

D.电场强度越强处,电荷的电势能就越大

试题详情

17、电场中有A、B两点,在将某电荷从A点移到B点的过程中,电场力对该电荷做了正功,则下列说法中正确的是(    )

A、该电荷是正电荷,且电势能减少

B、该电荷是负电荷,且电势能增加

C、该电荷电势能增加,但不能判断是正电荷还是负电荷

D、该电荷电势能减少,但不能判断是正电荷还是负电荷

试题详情

16、如图所示为电场中的一条电场线,A、B为其上的两点,以下说法正确的是(   )

A、EAEB可能不等,A与B一定不等 

B、EAEB可能相等,A与B可能相等                                 

C、EAEB一定不等,A与B可能相等

D、EAEB可能相等,A与B一定不等

试题详情

15、由电场强度的定义式E=F/q 可知,在电场中的同一点(   )

A、电场强度EF成正比,跟q成反比

B、无论检验电荷所带的电量如何变化,F/q始终不变

C、电荷在电场中某点所受的电场力大,该点的电场强度不一定大。

D、一个不带电的小球在P点受到的电场力为零,则P点的场强一定为零

试题详情


同步练习册答案