题目列表(包括答案和解析)

 0  166348  166356  166362  166366  166372  166374  166378  166384  166386  166392  166398  166402  166404  166408  166414  166416  166422  166426  166428  166432  166434  166438  166440  166442  166443  166444  166446  166447  166448  166450  166452  166456  166458  166462  166464  166468  166474  166476  166482  166486  166488  166492  166498  166504  166506  166512  166516  166518  166524  166528  166534  166542  447348 

10.下列关于电磁波的说法中,错误的有(  )

   A.麦克斯韦的电磁场理论预言了电磁波的存在

  B.均匀变化的电场周围产生均匀变化的磁场,均匀变化的磁场周围产生均匀变化的电场

   C.机械波可以是横波或纵波,电磁波一定是纵波

   D.红外线比紫外线更容易发生衍射现象

试题详情

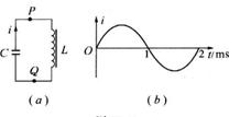
9.在右图(a)所示的LC振荡电路中,通过P点的电流随时间变化的图线如图(b)所示,若把通

P点向右的电流规定为i的正方向,则(  )

A.0至0.5ms内,电容器C正在充电

B.0.5ms至1ms内,电容器上极板带正电荷

C.1ms至1.5ms内,Q点比P点电势高

D.1.5ms至2ms内,磁场能在减少

试题详情

8.MNO为一等腰三棱镜的横截面。ab两束单色光垂直底面MN进入后,折射、反射

情况如图所示,由此可知(  )

A.棱镜内a光传播速度比b光大

B.棱镜内a光传播速度比b光小

   C.a光频率比b光高

   D.a光波长比b光短

试题详情

7.下列关于日常生活中和光现象有关的描述正确的有(  )

   A.水里潜水员看到岸边的物体比实际位置要低

   B.只有厚度均匀的肥皂薄膜才能发生干涉现象

    C.利用激光亮度高的特点,在医学中可用作“光刀”

   D.拍摄水中的游鱼时,在镜头前装一个偏振片可以减弱水面反射光进入镜头

试题详情

6.振幅均为A的两列水波发生干涉如图所示。下列说法正确的有(   )

A.质点P的位移始终为2A

B.质点Q一会儿在波谷一会儿在波峰

C.质点M的位移可能为2A

D.从图示时刻开始经过半个周期后PQ两点都回到平衡位置

试题详情

5.图甲所示为一列简谐波在t=0时刻的波形图,图乙所示为质点P的振动图像。下列说法正确的有(  )

A.该波沿x轴负方向传播   

B.该波波速为6m/s

C.0.5s后质点P的坐标为 (4, 0) 

D.该波传播过程中若遇到3m 

的障碍物,能发生明显衍射

试题详情

4.一个弹簧振子做受迫振动时振幅A与驱动力频率f的关系如图所示。

由图可知(  )

A.驱动力频率为f2时,振子处于共振状态

B.驱动力频率为f3时,振子振动频率为f2

C.振子自由振动时频率可以为f1f2f3

D.振子自由振动时频率只能为f2

试题详情

3.一个弹簧振子振动图像如图所示,那么(  )

   A.t1t2时刻振子速度大小相等、方向相同

   B.t2t3时刻振子速度大小相等、方向相反

C.t1t4时刻振子加速度大小相等、方向相同

D.t2t4时刻振子加速度大小相等、方向相反

试题详情

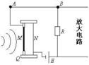
2.电容式话筒的保真度比动圈式好,其工作原理如图所示。Q是  

绝缘支架,薄金属膜M和固定电极N形成一个电容,被直流电 

源充电。当声波使薄金属膜M振动时电容发生变化,电路中形 

成电流。当声波使M向左运动时下列说法正确的有(  )

   A.电容变大

   B.电容变小

 C.导线AB中有向左的电流

   D.导线AB中有向右的电流

试题详情

1.某电压随时间变化规律如图所示,该电压有效值为(  )

A.   B.  C.   D.

试题详情


同步练习册答案