题目列表(包括答案和解析)

 0  167429  167437  167443  167447  167453  167455  167459  167465  167467  167473  167479  167483  167485  167489  167495  167497  167503  167507  167509  167513  167515  167519  167521  167523  167524  167525  167527  167528  167529  167531  167533  167537  167539  167543  167545  167549  167555  167557  167563  167567  167569  167573  167579  167585  167587  167593  167597  167599  167605  167609  167615  167623  447348 

2、某电压表的内阻在20k~50k之间,现要测量其内阻,实验室提供下列可选用的器材:

待测量电压表V(量程3V)     电流表A1(量程200μA)

电流表A2(量程5mA)       电流表A3(量程0.6A)

滑动变阻器R(最大阻值1k)   电源ε(电动势4V)

电键K

(1)所提供的电流表中,应选用________(填写字母代号)。

(2)为了尽量减小误差,要求测多组数据,试在图中方框中画出符合要求的实验电路图(其中电源和电键及其连线已画出)。

试题详情

 为改变被测电阻两端的电压(或被测电阻中的电流强度),常用滑动变阻器与电源的连接有两种不同的形式,如图4所示,图4甲为限流接法,图4乙为分压接法,这两种接法区别之处是:(L彼测电阻R上的电压调节 范围不同.当滑动触头P由a→b移动过程中(电源内阻不计).(1)被测电阻两端电压调节的范围,图4甲为R -ε,图4乙为0-ε;(2)对被测电阻R上的电流强度的控制情况有区别.对于图4甲有I=当R0>>R时,调节 R0的大小可使通过被测电阻的电流有明显变化,但当R0<<R时,无沦怎样改变R0的大小,也不会使通过R的电流有明显变化,可见,只有在R0>R(或两者相差不多)的情况下,改变变阻器的触头的位置才会使电阻R上的电流有明显变化,从而起到对电阻R上的电流的控制作用.但对于图4乙中,不管电阻R的大小如何,调节滑动变阻器触头位置都可以使通过被测电阻R的电流由0变到 ,通过被测电阻R的电流有明显变化;(3)从电能损耗方面分析图4甲比图4乙要小,且图4甲具有电源负担轻、电路连接简便等优点.

综合上述,可得到如下结论:

(1)若需要被测电阻R两端电压变化范围较大,或需要从零开始连读可调电压,应选图4乙的分压电路;

(2)若采用限流电路时,如果电路中最小电流大于或等于被测电阻R的额定电流,必须采用分压电路;

(3)当R0<<R时.为使被测电阻中电流有明显变化,也应选分压电路;

(4)当R0>R时(或两者相差不多),虽然两种电路都可以对负载电流有明显的调节和控制.或两种电路都满足实验要求时.但图4甲的限流电路具有节省电能、电源负担轻、电路连接简便等优点,应选图4甲的限流电路较好.

  例如在例3中,电路若采用限流电路,电路中的最小电流为 ,Imin等于小灯泡额定电流,滑动变阻器无法对电流进行调节,故必须采用分压电路,如图3所示.

 所以,我们在选择电学实验仪器和实验电路时,应先依据题意确定电流表、电压表和滑动变阻器等仪器,然后确定电流表的内外接法,再选择控制电路并画出实验电路图.

练习题:

1、用伏安法较准确测量一个阻值约50欧的定值电阻,器材规格如下:

A、电池组(6伏,内阻很小)

B、电流表(0-50毫安,内阻20欧)

C、电压表(0-3伏,内阻5千欧)

D、滑动变阻器(0-10欧,1安)

E、电键一个,导线若干条

试题详情

电压表和电流表连入电路可以有两种方法:一种是:如图2甲所示的电路叫做电流表外接电路(简称“外接法”);一种是:如图2乙所示的电路叫做电流表内接电路(简称“内接法”).由于电流表、电压表内阻的影响,不管采用电流表内接还是外接,都将会引起误差.外接法的测量误差是由于电压表的分流作用而产生,由并联电路中电流分配与电阻成反比可知当 RV>>R时,电压表的分流作用可忽略不计,此时I≈IR,R≈R,可见对于小电阻的测量宜采用外接法电路.内按法产生的误差是电流表的分压作用,由串联电路的电压分配与电阻成正比可知,当RA<<R时,电流表的分压作用很小,可忽略不计,此时U≈UR,R≈R,所以对大电阻应采用内接法电路.那么如何确定R 值是较大还是较小呢?根据以上分析可知,当被测电阻与电压表内阻的关系满足RV>>R即RV/R>>1时应采用“外接法”较准确;当被测电阻与电流表的内阻相比满足 RA<<R即RA/R<<1,采用“内接法”测量误差较小.若当RV/R=RA/R时,电压表的分流作用和电流表的分压作用对测量结果的影响是相同的,此时既可选择“内接法”也可选择“外接法”.R=,此时的R我们常称为临界电阻.当 RV/R> R/RA即R>时,电流表的分压作用较电压表的分流作用明显,应采用外接电路,当RV/R< R/RA即R<时,电压表的分流作用较电流表的分压作用明显,应采用内接电路.

例3 有一小灯泡上标有“6V0.6W”的字样,现在要用伏安法测量这个灯泡的 图线,已知所用器材有:是电流表(0-0.3A,内阻1Ω);电压表(0-15V,内阻20kΩ);滑动变阻器(0-30Ω,2A);学生电源(直流9V);开关一只、导线若干.为使实验误差尽量减小,画出合理的实验电路图.

分析与解因为电压表内阻远大于灯泡的最大阻值60 ,因此选择电流表外接法.电路如图3所示.

例4、用伏安法测量阻值约为几十欧的线圈的电阻R,己知所用电流表的量程为(0-0.6V),内阻0.125Ω,电压表的量程为(0-15V),内阻为15kΩ,蓄电池组电压为12V,问应采用哪一种连接电路?

分析与解因为R==43Ω,而题目给出的被测电阻阻值约为几十欧,可能大于43Ω,也可能小于43Ω,因此内接法、外接法两种电路均可采用。

在具体的实验中若RA、RV均不知的情况下,可用试触法判定,即通过改变电表的连接方式看电流表、电压表指针变化大小来确定.

试题详情

3.应根据实验的基本要求来选择仪器.对于这种情况.只有熟悉实验原理.才能做出恰当的选择.

对器材的选择的一般步骤是:①找出唯一性的器材;②草画电路图(暂不把电表接入);③估算最大值(在限流电路中把滑动变阻器触头推向最小值);④考虑能否都使电表达到满偏的1/3以上。

在“伏安法测电阻”和“伏安法测电池电动势和内电阻”的实验中,一般选用总阻值较小的滑动变阻器,前者可方便调节,后者可减少误差。

※①在滑动变阻器作限流作用时,为使负载RX既能得到较宽的电流调节范围,又能使电流变化均匀,选择变阻器时,应使其总电阻,R0大于RX,一般在2-5倍为好。

※②在滑动变阻器作为分压作用时,一般取滑动变阻器的总电阻R0在0.1RX-0.5RX之间为好。

例1 有一电阻R ,其阻值大约在40 Ω至50 Ω之问,需进一步测定其阻值,现有下列器材:电池组ε,电动势为9V,内阻忽略不计;电压表V,量程为0至10V,内阻20Ω;电流表A1,量程为0至50mA,内阻约20Ω;电流表A2,量程为0至300mA,内阻约4Ω;滑动变阻器R1,阻值范围为0至100Ω,额定电流1A;滑动变阻器R2,阻值范围为0至1700Ω,额定电流0.3A,开关S及导线若干.实验电路图如图1所示,实验中要求多测几组电流、电压厦.在实验中应选   电流表和   滑动变阻器.

分析与解

首先估算电路中可能达到的最大电流值,假设选电流表A1,则,Im≈0.14A      超过了 A1的量程,及假设选电流表 A2,则Im≈0.18A,未超出A2的量程,故应选电流表A2,这一选择遵循了安全性原则.

对滑动变阻器的选择。假没选R1,电路中的最小电流约为

Imin≈0.06A,

故电路中的电流强度范围为0.06A-0.18A.又假设选R2,电路中的最小电流约为

Imin≈0.06A

故电路中的电流强度范围为0.005A - 0.18A,因为电流表A2。的量程为0.3A,电流强度为0.06A时,仅为电流表A2。量程的1/5,如果移动滑动变阻器阻值再增大,其电流表的示数将更小,读数误差会更大,因此对于 R2而言,有效的调节长度太小,将导致电流强度值随滑动片位置的变化太敏感.调节不方便,故应选滑动受阻器R1,这一选择就遵循了方便性原则.

例2:欲用伏安法测定一个阻值约12欧的电阻,要求测量结果尽量准确,下列器材中应选用的是_________,画出应采用的电路图。

A、电池组(6伏,内阻很小)

B、电流表(0-3安,内阻0.0125欧)

C、电流表(0-0.6安,内阻0.125欧)

D、电压表(0-3伏,内阻3千欧)

E、电压表(0-6伏,内阻6千欧)

F、滑动变阻器(0-20欧,1安)

G、滑动变阻器(0-200欧,0.3安)

H、电键、导线

[分析与解答]①找出唯一性器材:被测电阻、电池组A、电键和导线H;②草画电路图;③估算最大值:当滑动变阻器的使用阻值为零时,电路中电流最大Im=ε/RX≈6/12=0.5安;④因此选用C和E都可同时使电流表和电压表指针半偏以上。

变阻器选F(若选G则因额定电流小而容易烧毁,且不方便调节)

把电表接入时,用电流表外接法。

此题中变阻器也可采用分压作用。

试题详情

2.根据电路中可能出现的电流或电压范围需选择滑动受阻器.注意流过滑动变阻器的电流不超过它额定值.对高阻值的变阻器,如果滑动头稍有移动,使电流电压有很大变化的,不直采用.

试题详情

根据实验原理和实验室条件选择仪器是进行正确测量的前提,一般遵循以下三原则:

⑴安全性原则:要能够根据实验要求和客观条件选用合适的仪器,使实验切实可行,能达到预期目标。另外还要注意测量仪器的量程,电阻类器件的电流不能超过其最大允许电流等。

⑵准确性原则:根据实验的需要,选用精度合适的测量工具,但对某个实验来讲,精确程度够用即可,并不是精度越高越好。

⑶操作性原则:实验时需考虑调节方便,便于操作,如滑动变阻器的选择,既要考虑它的额定电流,又要考虑它的阻值范围,在二者都能满足实验要求的情况下,还要考虑阻值大小对实验操作中是否调节方便的影响。

根据教学大纲及高考考核的要求,选择电学实验仪器主要是选择电表、滑动变阻器、电源等器件,通常可以从以下三方面人手:

1.根据不使电表受损和尽量减少误差的原则选择电表.首先保证流过电流表的电流和加在电压表上的电压均不超过使用量程.然后合理选择量程。务必使指针有较大偏转(一般取满偏的1/3-2/3左右),以减少测读的误差.

试题详情

18.(17 分)在光滑绝缘的水平桌面上,有两个质 量均为m,电量为+q 的完全相同的带电粒子  P1 和 P2  ,在小孔 A处以初速度为零先后释放。在平 行板间距为d 的匀强电场中加速后,P1从C处对着圆心进入半径为 R 的固定圆筒中(筒壁上的小 孔 C 只能容一个粒子通过),圆筒内有垂直水平面向上的磁感应强度为 B 的匀强磁场。P1每次与筒壁发生碰撞均无电荷迁移,P1进入磁场第一次与筒壁碰撞点为 D,∠COD=θ ,如图12所示。延后释放的P2,将第一次欲逃逸出圆筒的P1正碰 圆筒内,此次碰撞刚结束,立即改变平行板间的电压,并利用P2与P1之后的碰撞,将P1限制在圆 筒内运动。碰撞过程均无机械能损失。设d=5πR/8,求:在P2和P1相邻两次碰撞时间间隔内,粒子P1与筒壁的可能碰撞次数。

附:部分三角函数值

[分析]  P1从C运动到D,

当 n=1, K=2、3、4、5、6、7 时符合条件,K=1、8、9………不符合条件

当 n=2,3,4……….时,无化K=多少,均不符合条件

[高考考点]带电粒子在匀强电场中的运动 带电粒子在匀强磁场中的运动 圆周运动

[易错点] 有些同学认为带电粒子在磁场中每转一圈两粒子就碰撞一次。

[备考提示]归纳法在高中物理中经常用到的方法。

试题详情

17.(16 分)宇宙中存在一些离其它恒星较远的、由质量相等的三颗星组成的三星系统,通常可忽略其它星体对它们的引力作用。已观测到稳定的三星系统存在两种基本的构成形式:一种是三颗星位于同一直线上,两颗星围绕中央星在同一半径为 R 的圆轨道上运行;另一种形式是三颗星位于等边三角形的三个项点上,并沿外接于等边三角形的圆形轨道运行。设每个星体的质量均为m。

(1)试求第一种形式下,星体运动的线速度和周期。

(2)假设两种形式星体的运动周期相同,第二种形式下星体之间的距离应为多少?

[高考考点]万有引力定律 牛顿第二定律

[易错点]有些同学找不出什么力提供向心力

[备考提示]万有引力定律和牛顿第二定律是力学的重点

试题详情

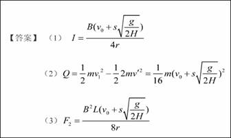
16. (16 分)如图 11所示,在磁感应强度大小为 B、方向垂直向上的匀强磁场中,有一上、 下两层均与水平面平行的“U”型光滑金属导轨,在导轨面上各放一根完全相同的质量为m 的匀质金属A1和A2,开始时两根金属杆位于同一竖起面内且杆与轨道垂直。设两导轨面 相距为 H,导轨宽为 L,导轨足够长且电阻不计,金属杆单位长度的电阻为 r。现有一质量 为m /2的不带电小球以水平向右的速度v0撞击杆A1的中点,撞击后小球反弹落到下层面上的C点。C 点与杆A2初始位置相距为S。求:

(1)回路内感应电流的最大值;

(2)整个运动过程中感应电流最多产生了多少热 量;

(3)当杆 2 A 与杆 1 A 的速度比为 3 : 1 时, 2 A 受到的 安培力大小。

[分析]对小球和杆A1组成的系统,由动量守恒定律,得

[高考考点]电磁感应定律、安培力、闭合电路欧姆定律、动量守恒和能量守恒

[易错点]有些同学不会从动量角度和能量角度分析问题

[备考提示]电磁感应定律、安培力、闭合电路欧姆定律、动量守恒和能量守恒均是

高中物理的重点知识,并能灵活运用

试题详情

15.(14分)一个质量为 4 kg 的物体静止在足够大的水平地面上, 物体与地面间的动摩擦因数μ= 0.1。从t=0开始,物体受到一 个大小和方向呈周期性变化的水平力 F 作用,力 F 随时间的变化规律如图 10所示。求 83 秒内物体的位移大小和力 F 对物体所做的功。g 取10 m/ s2

[答案]167m  681J

[分析]当物体在前半周期时由牛顿第二定律,得 F1-μmg=ma1

a1=( F1-μmg)/m=(12-0.1×4×10)/4=2m/s2

当物体在后半周期时,

由牛顿第二定律,得 F2+μmg= ma2

a2=( F2+μmg)/m=(4+0.1×4×10)/4=2m/s2

前半周期和后半周期位移相等 x1=1/2at 2 =0.5×2×22 =4m

一个周期的位移为 8m 最后 1s 的位移为 3m

83 秒内物体的位移大小为 x=20×8+4+3=167m

一个周期 F 做的功为 w1=(F1-F2)x1=(12-4)4=32J

力 F 对物体所做的功 w=20×32+12×4-4×3=681J

[高考考点]匀变速直线运动 牛顿第二定律

[易错点]有些同学不明确物体的运动规律,特别是最后 3 秒的运动。

[备考提示]匀变速直线运动和牛顿第二定律是力学的重点内容。

试题详情


同步练习册答案