题目列表(包括答案和解析)

 0  30311  30319  30325  30329  30335  30337  30341  30347  30349  30355  30361  30365  30367  30371  30377  30379  30385  30389  30391  30395  30397  30401  30403  30405  30406  30407  30409  30410  30411  30413  30415  30419  30421  30425  30427  30431  30437  30439  30445  30449  30451  30455  30461  30467  30469  30475  30479  30481  30487  30491  30497  30505  447348 

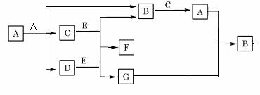
17.(10分) A、B、E、G的焰色反应均呈黄色。C、F均为组成空气的成分之一,D为无色液体。在一定条件下,各物质之间的相互转化关系如下图:

(1)C的结构简式:                                

(2)E的电子式:                                

(3)写出下列反应的离子方程式

① B   A                               

② A + G                               

(4) 举例说明C(或D)和E反应的作用之一:                  

(5)将一定量的A和G的混合物放在密闭的容器中加热,充分反应后生成V1L气体(V1≠0)。将反应后的固体残渣Y与过量的稀盐酸反应,又生成V2L体积气体(V1、V2均为标准状况时的体积)。 ①Y的主要成份是              (写化学式)。 ②求原混合物中A和G的物质的量之比              

试题详情

16、分子式为C4H8O3的有机物,在一定条件下具有下列性质:①在浓硫酸存在下,能分别与CH3CH2O或CH3 COOH反应;②在浓硫酸存在下,还能生成一种分子式为C4H6O2的四元环状化合物。下列结构简式满足上述条件的是:

A.HOCH2COOCH2CH3           B.CH3CH(OH)CH2COOH 

C.CH3CH2CH(OH)COOH         D.HOCH2CH2CH2COOH

第II卷(非选择题  共52分)

试题详情

15、某芳香酸(仅含有C、H、O三种元素),其相对分子质量<170,已知芳香酸中碳元素质量分数为72﹪,则下列说法不正确的是:

  A.分子中碳原子个数为9       B.该物质为一元羧酸

  C.该物质的相对分子质量为150   D.不能推出该物质的分子式

试题详情

14. 脑白金的主要成分的结构简式如下图:下列说法错误的是

 

A.其分子式为     B.能水解生成乙酸

C.能与溴水发生加成反应      D.该物质是一种氨基酸

试题详情

13.2008年北京残奥会吉祥物是以牛为形象设计的“福牛乐乐”。有一种有机物的键线式也酷似牛形(下图所示),故称为牛式二烯炔醇。下列说法不正确的是:

A.该物质能使酸性高锰酸钾溶液褪色

B. 该物质能在浓硫酸、加热的条件下发生消去反应

C.一定条件下, 1mol该物质与足量Br2的四氯化碳溶液反应,消耗6mol Br2

D.该物质能与氯化氢气体发生取代反应

试题详情

12.已知某有机物A的红外光谱和核磁共振氢谱如下图所示,下列说法中正确的

A.由红外光谱可知,该有机物分子中最多有三种不同的化学键

B.由核磁共振氢谱可知,该有机物分子中有三种不同化学环境且数目相同的氢原子

C.由其核磁共振氢谱和红外光谱可以推断该物质的分子式

D.若A的化学式为C2H6O,则其结构简式为CH3 CH2OH

试题详情

11.下变化过程中有关化学反应类型的组合正确的是:

A. ①取代反应 ②取代反应 ③加成反应 ④氧化反应 ⑤加成反应 ⑥消去反应

B. ①加成反应 ②水解反应 ③还原反应 ④还原反应 ⑤取代反应 ⑥消去反应

C. ①加成反应 ②氧化反应 ③取代反应 ④还原反应 ⑤取代反应 ⑥消去反应

D. ①取代反应 ②取代反应 ③加成反应 ④氧化反应 ⑤酯化反应 ⑥氧化反应

试题详情

10.与         互为同分异构体且属于酚的有 

 A.2种   B.3种    C.4种     D.5种

试题详情

9.下列物质属于同系物的是

A.CH3CH2CH2OH与CH3OH    B.OH与CH2OH

C.乙酸与HCOOCH3       D.CH3CH2Cl与CH3CHClCH2Cl

试题详情

8.有机物结构简式如下图,下列有关说法正确的是;

A.该物质为芳香族化合物      

B.分子式是C7H6O3

C.该物质能与三氯化铁溶液发生显色反应   

D.该物质与碳酸氢钠溶液反应有气体产生

试题详情


同步练习册答案