题目列表(包括答案和解析)

 0  30370  30378  30384  30388  30394  30396  30400  30406  30408  30414  30420  30424  30426  30430  30436  30438  30444  30448  30450  30454  30456  30460  30462  30464  30465  30466  30468  30469  30470  30472  30474  30478  30480  30484  30486  30490  30496  30498  30504  30508  30510  30514  30520  30526  30528  30534  30538  30540  30546  30550  30556  30564  447348 

17、按反应特征与产物的结构关系,目前我们学习的有机反应大致可分为:取代反应、消去反应、加成反应三种,下列变化中属于取代反应的是:

A.CH3CHO + H2  →  CH3CH2OH

B.C2H5OH  →  CH2=CH2 ↑ + H2O

C.CH3CH2CHO + HCN  →  CH3CH2CH(CN)OH

D.CH3COOC2H5 + H2O  →  CH3COOH + C2H5OH

试题详情

16、下列分子中,所有原子都处在同一平面的是:

A.2-溴丙烷            B.氯乙烯           C.丙炔            D.甲苯

试题详情

15、某化合物的结构(键线式)及球棍模型如下:

该有机分子的核磁共振氢谱图如下(单位ppm)。

下列关于该有机物的叙述正确的是:

A.该有机物不同化学环境的氢原子有4种

B.该有机物属于芳香族化合物

C.键线式中的Et代表的基团为-CH3

D.该有机物在一定条件下能够发生取代反应

试题详情

14、下列物质中存在顺反异构体的是:

A.2-氯丙烯       B.丙烯         C.2-丁烯       D.1-丁烯

试题详情

13、除去下列物质中所含少量杂质(括号内为杂质),所选用的试剂和分离方法能达到实验目的的是:

 
混合物
试剂
分离方法
A
苯(甲苯)
溴水
分液
B
乙烷(乙烯)
氢气
加热
C
乙酸乙酯(乙酸)
NaOH溶液
蒸馏
D
淀粉(氯化钠)
蒸馏水
渗析

试题详情

12、X和Y属短周期元素,X原子的最外层电子数是次外层电子数的一半,Y位于X的前一周期,且最外层只有一个电子,则X、Y形成的化合物的化学式可表示为:

A.XY2         B.XY          C.XY3        D.X2Y3

试题详情

11、原子序数小于18的元素X,其原子最外层中未成对电子数最多,含这种元素的阴离子可能是:

A.XO3        B.XO32        C.XO42        D.XO4

试题详情

10、下列各组原子,彼此性质一定相似的是:

A.1s2与2s2的元素

B.M层上有两个电子与N层上有两个电子的元素

C.2p上有一个未成对电子与3p上有一个未成对电子的元素

D.L层上有一个空轨道和M层的p轨道上有一个空轨道的元素

试题详情

9、下列曲线分别表示元素的某种性质与核电荷数的关系(Z为核电荷数,Y为元素的有关性质)。下列有关说法错误的是:

 

A.a图表示第三周期元素的原子半径(稀有气体除外)

B.b图表示ⅡA族元素的最外层电子数

C.c图表示第三周期元素的最高化合价

D.d图表示第三周期元素单质的熔沸点

试题详情

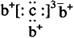
8、a、b、c、d是四种短周期元素。a、b、d同周期,c、d同主族。a的原子结构示意图为

,b与c形成化合物的电子式为。下列比较中正确的是:

A.原子半径:a>c>d>b            B.电负性a>b>d>c

C.原子序数:d>a>c>b            D.最高价含氧酸的酸性c>d>a

试题详情


同步练习册答案