题目列表(包括答案和解析)

 0  61781  61789  61795  61799  61805  61807  61811  61817  61819  61825  61831  61835  61837  61841  61847  61849  61855  61859  61861  61865  61867  61871  61873  61875  61876  61877  61879  61880  61881  61883  61885  61889  61891  61895  61897  61901  61907  61909  61915  61919  61921  61925  61931  61937  61939  61945  61949  61951  61957  61961  61967  61975  447348 

12、甲、乙两人同时从相距100千米的两地出发,相向而行。甲每小时走6千米,乙每小时走4千米。甲带了一只狗与他同时出发,狗以每小时10千米的速度向乙奔去,遇到乙即回头向甲奔去,遇到甲又回头向乙奔去,直到甲、乙两人相遇时狗才停住,这只狗共奔跑__________千米路。

试题详情

11、在△ABC中,AB=AC,∠BAC>90°,在BC所在的直线上取一点D,使△ABD为等腰三角形,这样的点(点C除外)共有__________个。

试题详情

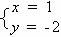
10、请你写出一个解为的二元一次方程组      

试题详情

9、若不等式组的解集是xa,则a的取值范围是(   )。

A、 a<3  B、 a=3  C、 a>3  D、 a≥3

试题详情

8、如图,等腰三角形ABC中,AB=AC,一腰上的高与另一腰所夹角的度数是30°,则∠A= (   )。

A、120°  B、60°     C、90°  D、60°  或 120°   

试题详情

7、下列能铺满地面的正多边形组合是(   )。            

A、正十边形和正五边形   B、正五边形和正六边形     

C、正方形和正六边形    D、正方形和正八边形

试题详情

6、下列说法中正确的是(    )。

①   角平分线上任意一点到角的两边的线段长相等

②   角是轴对称图形      ③线段不是轴对称图形

④   线段垂直平分线上的点到这条线段两个端点的距离相等

A、①②③④    B、①②③     C、②④     D、②③④

试题详情

5、下列说法中,错误的是(   )。

A、是方程的一个解;

B、方程可化为

C、不是二元一次方程;

D、一个多边形的内角中至多有3个锐角;

试题详情

4、 三角形纸片ABC中,∠A=75°, ∠B=65°,将纸片的一角折叠,使点C落在△ABC内(如图),若∠1=25°,则∠2等于(  )。

A、75°    B、65°    C、55°    D、45°

试题详情

3、现有长度为2cm、3cm、4cm、5cm的木棒,从中任取三根,能组成三角形的个数为(   )。

A、1        B、2        C、3          D、4

试题详情


同步练习册答案