题目列表(包括答案和解析)

 0  66206  66214  66220  66224  66230  66232  66236  66242  66244  66250  66256  66260  66262  66266  66272  66274  66280  66284  66286  66290  66292  66296  66298  66300  66301  66302  66304  66305  66306  66308  66310  66314  66316  66320  66322  66326  66332  66334  66340  66344  66346  66350  66356  66362  66364  66370  66374  66376  66382  66386  66392  66400  447348 

21、有甲乙两种债券,年利率分别是10%与12%,现有400元债券,一年后获利45元,问两 种债券各有多少?

试题详情

20、有一只驳船,载重量是800吨,容积是795立方米,现在装运生铁和棉花两种物资,生铁每吨的体积为0.3立方米,棉花每吨的体积为4立方米,生铁和棉花各装多少吨,才能充分利用船的载重量和容积?

试题详情

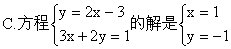
19、用加减法解

试题详情

17、用代入法解

18加减法解     

试题详情

16、用代入法解          

试题详情

14、下列说法正确的            [ ] A.二元一次方程2x+3y=17的正整数解有2组      15、某校运动员分组训练,若每组7人,余3人;若每组8人,则缺5人;设运动员人数为x人,组数为y组,则列方程组为            [  ]

A、  B、  C、    D、

试题详情

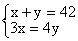
12、在方程4x-3y=12中,若x=0,那么对应的y值应为:     [ ]  A、4    B、-4    C、3     D、-3 13、甲、乙两数之和是42,甲数的3倍等于乙数的4倍,求甲、乙两数.若设甲数为x,乙数为y,列方程组           [ ]       正确的个数为:

A.1个     B.2个    C.3个    D.4个

试题详情

10、若是同类项,则        [  ]

A、-3    B、0     C、3     D、6

11

A、  是这方程的唯一解        B、不是这方程的一个解

C、是这方程的一个解        D、以上结论都不对

试题详情

9、下列方程组中,属于二元一次方程组的是         [  ]

A、  B、   C、    D、

试题详情

8、已知:,则的值是       

试题详情


同步练习册答案