题目列表(包括答案和解析)

 0  66828  66836  66842  66846  66852  66854  66858  66864  66866  66872  66878  66882  66884  66888  66894  66896  66902  66906  66908  66912  66914  66918  66920  66922  66923  66924  66926  66927  66928  66930  66932  66936  66938  66942  66944  66948  66954  66956  66962  66966  66968  66972  66978  66984  66986  66992  66996  66998  67004  67008  67014  67022  447348 

2、二元一次方程在正整数范围内的解是            

试题详情

6、 不等式2x-9<0的非负整数解是______________。

试题详情

4、 关于x的方程2x+3(m-1)=x+1的解是正数,则m的取值范围是_________。

试题详情

27、一组同学在校门口拍一张合影。已知冲一张底片需要0.6元,洗一张照片需要0.4元,每人都得到一张照片,每人平均分摊的钱不超过0.5元,那么参加合影的同学至少有几人?

第九章      二元一次方程组2

试题详情

21、有甲乙两种债券,年利率分别是10%与12%,现有400元债券,一年后获利45元,问两 种债券各有多少?( 5分)

试题详情

(3x-1)-3(4x+5) >x-4(x-7)     

试题详情

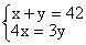
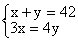
13、甲、乙两数之和是42,甲数的3倍等于乙数的4倍,求甲、乙两数.若设甲数为x,乙数为y,列方程组           [ ]       正确的个数为:

A.1个     B.2个    C.3个    D.4个

试题详情

11、如果a>b,那么下列不等式中不能成立的是(   )。

A、a-3>b-3    B、-3a>-3b   C、    D、-a<-b

试题详情

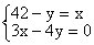
5、如果方程组的解是,则       

试题详情

3、中,若_______。

试题详情


同步练习册答案