题目列表(包括答案和解析)

 0  68557  68565  68571  68575  68581  68583  68587  68593  68595  68601  68607  68611  68613  68617  68623  68625  68631  68635  68637  68641  68643  68647  68649  68651  68652  68653  68655  68656  68657  68659  68661  68665  68667  68671  68673  68677  68683  68685  68691  68695  68697  68701  68707  68713  68715  68721  68725  68727  68733  68737  68743  68751  447348 

1.化简的结果是(   )

A.    B.     C.   D.

试题详情

12.人在运动时心跳速度通常和人的年龄有关,如果用a表示一个人的年龄,用b表示正常情况下,这个人在运动时能适应的每分钟心跳的最高次数,那么b=0.8(220-a),当一个45岁的人运动时10秒的心跳为22次,试问他有危险吗?

试题详情

11.填表:

  n
1
3
5
2
4
6

(-1)n
 
 
 
 
 
 

  1n
 
 
 
 
 
 

   从表中能得出什么规律?_____________________________.

试题详情

10.如上右图所示,写出阴影部分的面积________,并计算当R=20厘米,r=10厘米时,阴影部分的面积为________.

试题详情

9.如下左图,已知圆的半径为R,正方形的边长为a,

  (1)表示出阴影部分的面积S=________;

(2)当R=20厘米,a=8厘米,阴影部分面积S=_________平方厘米.

        

试题详情

8.一个三位数,它的十位上的数字是百位上数字的3倍,个位上的数字是百位上数字的2倍,设这个三位数个位上的数字是x,十位上的数字为y,百位上的数字为z.①用含x,y,z的代数式表示这个三位数:_________;②用含z的代数式表示这个三位数:_________;③求所有满足题目条件的三位数.

试题详情

7.填写上表,并观察代数式的值随n的变化而变化的情况:

   (1)随n的值逐渐变大,两个代数式的值如何变化?当n非常大时两个代数式的值接近于什么值?

(2)当n为何值时,两个代数式的值相等?

试题详情

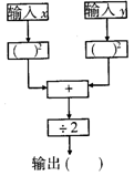
6.如图是一个数值转换机,请写括号内的内容,若输入x的值是3,y的值是-2,则输出的结果是_______.

n
1
2
3
4
5
6

10


 
 
 
 
 
 
 
 
 

 
 
 
 
 
 
 
 
 

试题详情

5.如图,用字母表示阴影部分的面积,并求当a=2厘米时,阴影部分的面积.( 取3.14)

试题详情


同步练习册答案