题目列表(包括答案和解析)

 0  73158  73166  73172  73176  73182  73184  73188  73194  73196  73202  73208  73212  73214  73218  73224  73226  73232  73236  73238  73242  73244  73248  73250  73252  73253  73254  73256  73257  73258  73260  73262  73266  73268  73272  73274  73278  73284  73286  73292  73296  73298  73302  73308  73314  73316  73322  73326  73328  73334  73338  73344  73352  447348 

25、若反比例函数的图象在第二、四象限,则的值是(   )

A、 -1或1    B、小于的任意实数  C、  -1    D、 不能确定

试题详情

24、若与-3成反比例,成正比例,则的(  )

A、 正比例函数  B、 反比例函数  C、 一次函数   D、 不能确定

试题详情

23.如图,函数yk(x+k)与在同一坐标系中,图象只能是下图中的(   )

试题详情

22.在函数(k>0)的图象上有三点A1(x1, y1 )、A2(x2, y2)、A3(x3, y3 ),已知x1x2<0<x3,则下列各式中,正确的是 (   )

  A.y1y2y3   B.y3y2y1  C. y2y1y3   D.y3y1y2

试题详情

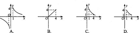
21.如图所示的图象的函数关系式只能是(   )

  A.     B.    C.    D.

试题详情

20.已知点P1(ab)在函数(k≠0)的图象上,那么不在此图象上的点是

A.P1(b,a)                 B.P2(-a,-b)

C.P3(-b,-a)        D.P4(-,-)

试题详情

19.已知函数经过P1(),P2(),如果y2<y1<0,那么  (   )

A.              B.

C.        D.

试题详情

18.面积为4的矩形一边为,另一边为y,则yx的变化规律用图象大致表示为 

试题详情

17.向高为H的圆柱形水杯中注水,已知水杯底面半径为2,那么注水量y与水深x的函数图象是   (  )

试题详情

16、在同一直角坐标系中,的交点个数是

A.3   B.2   C.1   D.0

试题详情


同步练习册答案