题目列表(包括答案和解析)

 0  76178  76186  76192  76196  76202  76204  76208  76214  76216  76222  76228  76232  76234  76238  76244  76246  76252  76256  76258  76262  76264  76268  76270  76272  76273  76274  76276  76277  76278  76280  76282  76286  76288  76292  76294  76298  76304  76306  76312  76316  76318  76322  76328  76334  76336  76342  76346  76348  76354  76358  76364  76372  447348 

2、一个小球由静止开始在一个斜坡上向下滚动,其速度每秒增加3m,则小球速度V(m/s)时间t(s)之间关系式为        

试题详情

1、一次函数中一次项系数k值为      

试题详情

7.3 一次函数(1)

试题详情

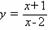
5、求下列函数自变量的取值范围。

(1)                                               (2)           

试题详情

4、一台机器开始工作时油箱中储油4升,如果每小时耗油0.5升,那么油箱中所剩油y(升)与它工作时间t(小时)之间的函数关系式是    

A  y= 0.5 t    B  y= 4 - 0.5 t    C  y=  4+ 0.5 t    D  y= 4 / t

试题详情

3、   已知正方形的边长为xcm,若把这个正方形的每边长都减少3cm,则正方形减少的面积为(   )

A   3    B  6x – 9     C  (x-3)2     D  6x

试题详情

2、  函数      中,自变量x的取值范围       。

试题详情

1、   一个长方形的长比宽大3cm,如果宽是xcm,那么这个长方形的面积是     ,当x为8时,长方形的面积为       .

试题详情

4、围猪舍三间,它们的形状是一排大小相等的三个矩形,一面利用旧墙,包括隔墙在内的其他各墙均用木料,已知现有木料可围24米的墙,设整个猪舍的长为x(米),宽为y(米),则y关系x的函数关系式为      。

 

§7.2 认识函数(2)

试题详情

3、地壳的厚度约为8~40km,在地表以下不太深的地方,温度可按y=35x+t计算,其中x是深度,t是地球表面温度,y是所达深度的温度。当x为22km时,地壳的温度(地表温度为2°C)(     )

A  24°C    B  772°C     C 70°C     D570°C

试题详情


同步练习册答案