题目列表(包括答案和解析)

 0  94306  94314  94320  94324  94330  94332  94336  94342  94344  94350  94356  94360  94362  94366  94372  94374  94380  94384  94386  94390  94392  94396  94398  94400  94401  94402  94404  94405  94406  94408  94410  94414  94416  94420  94422  94426  94432  94434  94440  94444  94446  94450  94456  94462  94464  94470  94474  94476  94482  94486  94492  94500  447348 

6.若动点到点和直线的距离相等,则点的轨迹方程为(   )

A.   B.  

C.   D.

试题详情

5.下列说法的正确的是             (   )

    A.经过定点的直线都可以用方程表示

    B.经过定点的直线都可以用方程表示

    C.不经过原点的直线都可以用方程表示

    D.经过任意两个不同的点的直线都可以用方程    

表示

试题详情

4.△中,点,的中点为,重心为,则边的长为(   )

    A.         B.         C.        D.

试题详情

3.直线与两直线分别交于两点,若线段的中点为

    ,则直线的斜率为(   )

  A.         B.          C.        D.

试题详情

2.若都在直线上,则表示为(   )

    A. B. C.  D.

试题详情

1.如果直线沿轴负方向平移个单位再沿轴正方向平移个单位后,

又回到原来的位置,那么直线的斜率是(   )

    A.    B.   C.      D.

试题详情

4.直线轴,轴分别交于点,在线段为边在第一象限内作等边△,如果在第一象限内有一点使得△和△的面积相等,

   求的值。

试题详情

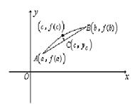
2.   把函数之间的一段图象近似地看作直线,设

证明:的近似值是:

试题详情

2.一直线被两直线截得线段的中点是点,当点分别为时,求此直线方程。

试题详情

1.求经过点并且和两个坐标轴围成的三角形的面积是的直线方程。

试题详情


同步练习册答案