0  132450  132458  132464  132468  132474  132476  132480  132486  132488  132494  132500  132504  132506  132510  132516  132518  132524  132528  132530  132534  132536  132540  132542  132544  132545  132546  132548  132549  132550  132552  132554  132558  132560  132564  132566  132570  132576  132578  132584  132588  132590  132594  132600  132606  132608  132614  132618  132620  132626  132630  132636  132644  447090 

5.下列说法正确的是

A.近似数4.0精确到十分位,有两个有效数字

B.近似数精确到百分位

C.用科学记数法表示250000为

D.近似数2.120有三个有效数字

试题详情

4.如果两个数的和为负数,那么这两个数一定

A.都是负数                         B.都是正数

C.一正一负                         D.至少有一个负数

试题详情

3.数轴上有一点A表示的数是3,数轴上还有一点8与A点的距离是4个单位长度,则B点表示的数是

A.7              B.-1            C.-1或7          D.7或1

试题详情

2.下列各组数中,互为倒数的是

A.-2与2          B.-2与         C.-2与       D.-2与

试题详情

1.下列四个数中,大于-3的是

A.-5            B.-4            C.          D.

试题详情

25.如图,已知∠MAO=90°,△ABC为等边三角形,OA=4,AB=a,以O为圆心的圆经过C点(即C点在⊙O上).

(1)当⊙O与AC相切于点C时,a的值是多少?

(2)当a=2时,试探究⊙O与AB是什么位置关系?

(3)将△ABC绕B点逆时针旋转120°后,得到△BEF,若EF所在的直线与⊙O相切,问此时a的值是多少?

试题详情

24.某住宅小区在住宅建设时留下一块1248平方米的空地,准备建一个矩形的露天游泳池,设计如图所示,游泳池的长是宽的2倍,在游泳池的前侧留一块5米宽的空地,其它三侧各保留2米宽的道路及1米宽的绿化带.请你计算出游泳池的长和宽.

试题详情

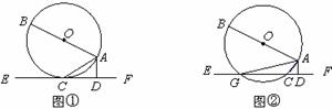
23.如图①,AB是⊙O的直径,AC是弦,直线EF和⊙O相切于点CADEF,垂足为D

(1)求证:∠DAC=∠BAC

(2)若把直线EF向上平行移动,如图②,EF交⊙OGC两点,若题中的其它条件不变,这时与∠DAC相等的角是哪一个?为什么?

试题详情

22.已知a,b,c,d,e五个实数的平均值为k,各数与k的差如下表:

a
b
c
d
e
x
-



(1)除实数a外,与k的差的绝对值最大的实数是____________.

(2)求x的值.

试题详情

21.一只不透明的袋子中,装有2个白球(标有号码1、2)和1个红球,这些球除颜色外其它都相同.

(1)搅匀后从中摸出一个球,摸到白球的概率是多少?

(2)搅匀后从中一次摸出两个球,请用树状图(或列表法),求这两个球都是白球的概率.

试题详情


同步练习册答案