0  139955  139963  139969  139973  139979  139981  139985  139991  139993  139999  140005  140009  140011  140015  140021  140023  140029  140033  140035  140039  140041  140045  140047  140049  140050  140051  140053  140054  140055  140057  140059  140063  140065  140069  140071  140075  140081  140083  140089  140093  140095  140099  140105  140111  140113  140119  140123  140125  140131  140135  140141  140149  447090 

2.下列物质分别加入适量水中充分搅拌,不能得到溶液的是

   A.小苏打      B.食盐      C.火碱       D.茶油

试题详情

1.下列能量的转化过程中,主要发生了化学变化的是

   A.电热器取暖    B.蜡烛照明    C.水力发电     D.太阳能供热

试题详情

30.(6分)海洋约占地球表面积的71%,具有十分巨大的开发潜力。苦卤是海水提取食盐后的残液,利用苦卤可以制得金属镁等化工原料。下图是我市某盐场苦卤中部分成分含量柱形图。试计算:

(1) 若使100 g该苦卤中的MgCl2和MgSO4完全转化为Mg(OH)2沉淀,需要20% NaOH溶液多少克?

(2)将上述沉淀完全转化为无水MgCl2,并在熔融状态下进行电解,可得金属镁多少克?氯气多少升(该条件下氯气密度为3.0 g/L)?

试题详情

29.(4分)铁是人类不可缺少的微量元素,正常人每天应补充14 mg左右的铁,其中大部分来自于食物。如果全部通过服用含FeSO4·7H2O的片剂补充铁,则每天约需要服用含_________mg FeSO4·7H2O的片剂。

市场上某硫酸亚铁片剂,其中Fe2+的含量为16.0%。该片剂中的Fe2+在空气中易变质,国家规定该片剂中Fe2+变质超过10.0%即不能再服用。为检验某药店出售的硫酸亚铁片剂是否失效,取10.0 g该片剂经测定含Fe2+ 1.52 g。通过计算说明该片剂是否能服用?

试题详情

28.(8分)物质之间发生化学反应时,常伴随有明显的现象,但有些化学反应却观察不到明显的现象。某兴趣小组同学为证明NaOH溶液与稀盐酸发生了中和反应,从不同角度设计了如下实验方案,并进行实验。

方案一:先用pH试纸测定NaOH溶液的pH,再滴加盐酸,并不断振荡溶液,同时测定混合溶液的pH,如果测得的pH逐渐变小且小于7,则证明NaOH溶液与稀盐酸发生了化学反应。

(1)用pH试纸测定溶液的pH时,正确的操作是:                  

                               

(2)简述强调“测得的pH小于7”的理由:                      

                                

方案二:先在NaOH溶液中滴加几滴酚酞溶液,溶液显红色,然后再滴加盐酸,可观察到红色逐渐消失,则证明NaOH溶液与稀盐酸发生了化学反应。

该组同学在向NaOH溶液中滴加酚酞溶液时,发现了一个意外现象:氢氧化钠溶液中滴入酚酞溶液,溶液变成了红色,过了一会儿红色就消失了。该小组对这种意外现象的原因作了如下猜想:

①可能是酚酞溶液与空气中的氧气反应,使红色消失;

②可能是氢氧化钠溶液与空气中的二氧化碳反应,使红色消失。

(1)为验证猜想①,该组同学做了如下实验:将配制的氢氧化钠溶液加热,并在液面上方滴一些植物油,然后在冷却后的溶液中滴入酚酞溶液。实验中“加热”和“滴入植物油”目的是          。实验结果表明酚酞溶液红色消失与空气中的氧气无关。

(2)为验证猜想②,该组同学做了如下实验:取了一定量的Na2CO3溶液,在其中滴入酚酞溶液,发现溶液也呈现红色,由此可得出以下两点结论:

结论1:说明Na2CO3溶液呈      性;

结论2:说明酚酞溶液红色消失与空气中的二氧化碳无关。

(3)该小组同学通过查阅资料得知:当氢氧化钠溶液浓度很大时,就会出现上述意外现象。请设计实验证明该方案中取用的NaOH溶液浓度过大:①实验方法                          

              ,②观察到的现象              

方案三:化学反应中通常伴随有能量的变化,可借助反应前后的温度变化来判断反应的发生。如果NaOH溶液与稀盐酸混合前后温度有变化,则证明发生了化学反应。

该组同学将不同浓度的盐酸和NaOH溶液各10 mL混合,用温度计测定室温下混合前后温度的变化,并记录了每次混合前后温度的升高值△t(如下表)。

编号
盐酸
NaOH溶液
t/℃
1
3.65﹪
2.00﹪
3.5
2
3.65﹪
4.00﹪
x
3
7.30﹪
8.00﹪
14

(1)表中x =    

(2)某同学在没使用温度计的情况下,通过右图所示装置完成了实验。则该同学根据   

                   判断NaOH溶液与稀盐酸发生了中和反应。

试题详情

27.(8分)请结合下列实验常用装置,回答有关问题。

(1)写出图中标有字母的仪器名称:a__________。

(2)若用高锰酸钾制取氧气,应选用的发生装置是__________(填“A”、“B”或“C”),在加入药品前,应首先     ,反应的化学方程式是             

(3)若要制取二氧化碳,在B装置中装有石灰石,那么a中应加入___________。若要获得干燥的二氧化碳,除发生装置外,还应选用D装置,并在该装置中盛放        (填写试剂名称)。如果用E装置收集该气体,则气体从_________端进入(填“b”或“c”)。

(4)实验室如用块状固体和液体无需加热制取气体,可将B装置改进为C装置(多孔隔板用来放块状固体),其优点是                   

试题详情

26.(3分)正确的基本实验操作是确保实验成功和安全的前提。试回答:

(1)量液时,量筒必须放平,视线                 

(2)用漏斗过滤时,注意液面始终要                 

(3)稀释浓硫酸时,切不可将                    

试题详情

25.(11分)金属材料是现代生活和工业生产中应用极为普遍的一类物质。

(1)钛合金是21世纪的重要材料,具有熔点高、可塑性好、抗腐蚀性强、与人体有很好的“相容性”等优良性能。金属的下列用途:①用来做保险丝 ②用来制人造骨 ③用于制造船舶 ④用于制造航天飞机。其中与钛合金性能符合的是      (填序号)。

(2)铁是一种最主要的金属材料,实验室里用一氧化碳还原氧化铁得到铁,实验过程中,先通入一氧化碳目的是                   

炼铁厂常以焦炭、赤铁矿、空气等为主要原料炼铁,反应过程如下:

写出② ③两步的化学方程式                      

  (3)矿物的储量有限,而且不可再生,我们必须保护金属资源并进行金属的回收利用。

某兴趣小组同学欲从含有硫酸、硫酸亚铁和硫酸铜的废液中,回收全部金属铜,应先加入     ,反应的化学方程式为:                 。充分反应后过滤,滤渣中含有      。继续处理可以得到纯净的金属铜和硫酸亚铁固体。

(4)在学习了金属资源保护内容以后,兴趣小组同学对金属的锈蚀做了观察,发现残留水的铁锅在与水面接触的部位最易生锈;家用的铜质水龙头也生了一层绿色的铜锈。回忆已有的知识,铁生锈的原因是             。那么铜生锈的原因是什么?查阅有关资料:铜锈的主要成份是Cu2(OH)2CO3。他们除依照铁钉锈蚀条件的探究方法进行实验外,还补充做了铜锈蚀与       有关系的实验。请写出一种防止铁或铜等金属制品生锈的具体方法                       

试题详情

24.(8分)实验中学同学开展复分解反应研究性学习,设计了如下研究性学习思路:

[练习质疑]下列各组物质间均能反应,写出③、④反应的化学方程式。

①氢氧化钠溶液与盐酸    ②碳酸钠溶液与硫酸

③硫酸铜溶液和氢氧化钠溶液                  

④碳酸钠溶液和氯化钡溶液                   

[研究讨论]上述反应为什么能够发生?是因为这些反应物中含有特殊的阴、阳离子,如①中有H+和OH- ,②中有H+和CO32-,③中有         ,④中有         

[构建网络]按照一定的顺序排列这些离子,就可以形成一种网络形式。在网络中,用短线相连的这些阴、阳离子能两两结合生成沉淀或气体或水。现有Ca2+、SO42-、NH4+,请将它们填入下面合适的“(   )”中,使其形成一个更为完整的复分解反应网络。

[拓展运用]通过形成的网络,可以判断化合物间能否共存,进行物质的鉴别,用于物质的除杂等。如硫酸钠溶液混有硫酸铵,可以加入       (填写化学式)除去硫酸铵。

试题详情

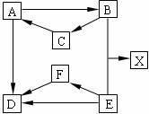
23.(5分)已知A、B、C三种固体含有同种金属元素,A难溶于水,B是一种氧化物,可作干燥剂。D、E、F含有同种非金属元素,E是常见的固体单质,D、F通常状况下为气体。X由两种元素组成,其中E元素的质量分数为37.5%,与另一种元素原子个数比为2∶1。它们的转化关系如下图(部分产物已略去)。

(1)写出E、X物质的化学式:E          ; X       

(2)写出C→A的化学方程式: ____________________________________。

(3)实验室若分离由D和F组成的混合气体,如采用上图装置,则a中应盛有      

(填写试剂名称,下同),b中应盛有      

试题详情


同步练习册答案