0  194823  194831  194837  194841  194847  194849  194853  194859  194861  194867  194873  194877  194879  194883  194889  194891  194897  194901  194903  194907  194909  194913  194915  194917  194918  194919  194921  194922  194923  194925  194927  194931  194933  194937  194939  194943  194949  194951  194957  194961  194963  194967  194973  194979  194981  194987  194991  194993  194999  195003  195009  195017  447090 

30.(6分)某同学用显微镜观察自制的血涂片, 请根据所学知识回答以下问题:

   图 ㈠            图(二)         图(三)

(1)    上图(一)是推血涂片的几种方法,其中正确的是      

(2)    上图(二)中的A、B、C 是视野中观察到的三种血细胞,其中能保护身体抵抗细菌等侵袭的是     ,煤气中毒是因为CO与其中的      上的某种物质牢固结合所致。

(3)    如果图(二)是低倍镜下的观察图像,现在该同学想进一步用高倍镜观察图(二)中的图像A,你认为他最先要做的一步是                 

(4)    图(三)是用显微镜观察装片时常见的两种情况,你认为Ⅰ和Ⅱ两种情况下,观察范围内细胞数目较多的是      ,视野较暗的是      

试题详情

29.(6分)暑假到了,某中学组织科学夏令营活动,7月5日(农历六月初一),他们来到了我省某山区,如图。

(1)经过一天的考察.按预定计划,他们先选择了B、C、D三条路线攀登到A 地,依据所学知识,称认为选择     路线比较省力,其理由是              

(2)BC两地之间的图上距离有4.5厘米,则两地的实际距离为     

(3)小强同学说这天能看到月食现象,小明同学说这天可以看到日食现象。他们两人中谁的话肯定是不可信的?说明理由              。  

试题详情

28.(6分)如图8所示的电路,电源电压保持不变。闭合开关S,调节华东  变阻器,两电压表的示数随电路中电流变化的图线如图9所示。根据图线的信息可知:     (甲/乙)是电压表V2示数变化的图线,电源电压为     V,电阻R1的阻值为    

试题详情

27.(4分) 嘉兴至绍兴将兴建跨海高速公路(如图),绍嘉高速公路设计全长69千米(包括12.32千米长的绍兴跨海大桥),是浙江省第一条规划8车道的高速公路,行车时速100千米/小时。问:(1)按设计时速,汽车通过绍嘉高速公路全程需    ___________小时:(2)若某轿车以功率为60千瓦、按公路设计时速匀速通过绍嘉高速公路,发动机的牵引力是      ___________牛顿。

试题详情

26.(4分)现欲探究一固体混合物A的成分,已知其中可能含有Mg(OH)2、CuCl2、NH4NO3、 (NH4)2SO4、 CuO五种物质中的两种或多种。按图所示进行实验,出现的现象如图所示(设过程中所有可能发生的反应均恰好完全反应)。试根据实验过程和发生的现象填写以下空白:

(1)产生的气体B的气味为                   

(2)溶液G中,一定存在的溶质是(写化学式)            

(3)混合物A中,肯定存在的物质是(写化学式)             

(4)写出实验过程④中可能发生的化学反应中的1个化学方程式(只能写1个,多写该空不得分):                       

试题详情

25.(4分) 2008年5月12日,四川汶川发生里氏8.0级地震。全国人民抗震救灾,众志成城,彰显了中华民族巨大的凝聚力。请回答下列问题:

(1)地震造成一列含有12节油罐车的货运列车在宝成铁路109号隧道里起火,消防人员迅速采取封堵隧道口、注水冷却等措施进行灭火,其灭火原理是    

A.清除可燃物     B.隔绝空气     C.使温度降到着火点以下

(2)5月21日,我市派遣专业人员赶赴灾区,协助做好饮用水安全工作。自来水厂主要通过 ①吸附沉淀(用明矾) ②投药消毒(用漂白粉等) ③自然沉降 ④过滤等对自然水进行净化,其合理的步骤顺序是    (填序号);

(3)我市对口支援青川市的灾后重建工作,迅速搭建了一批简易安置房,安置房用外层是钢板中间填充泡沫塑料的夹心板做墙体。为防止钢板生锈,延长夹心板的使用寿命,下列措施合理的是    

A.表面喷漆      B.经常酸洗     C.经常水洗

(4)国家药监局于5月25日公布的抗震救灾急需药械目录中包括:一次性防护服、活性炭防护口罩、骨科内外固定材料等。其中防护口罩主要是利用活性炭的    性。

试题详情

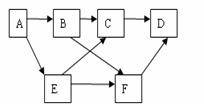
24.(6分)右图是人体部分新陈代谢过程的示意图,请根据图示回答下列问题:

(1)    人体新陈代谢的基本单位是    

(2)    物质A是在人体的哪个器官中出现的      

(3)    ②是指A 进入血液,这是    过程。

(4)    B通过肺排出体外,B 具体所指的代谢终产

物是        ,由于肾脏具有③的生理功能,因此排出的尿液中不含       ,如果尿液中经常出现该物质,则一般的治疗方法是        

试题详情

23.(6分)观察右边的食物网示意图,回答下列问题:

(1)右图中的生产者是      

(2)右图中共有     条物质与能量流动的渠道   

(3)若要构成一个完整的生物群落,图中还需要添加的成分是  

(4)该区域内,全部的D生物可以构成一个      

(5)图中各种生物中,体内总能量最多的是   ,D生命活动所需的能量规根到底来自于____       

试题详情

22.小敏利用“压敏电阻的阻值随所受压力的增大而减小”的性质,设计了判断物体运动状态的装置。其工作原理如图(a)所示,电源、电流表、定值电阻和压敏电阻由导线连接成一个串联电路,压敏电阻和一块挡板固定在绝缘小车上,中间放置一个可活动的绝缘球,压敏电阻不受力时,电流表示数为厶,小车运动状态变化会引起电流表示数变化。如图(b)所示是某次小车向右作直线运动时电流随时间变化图象。下列有关该次小车运动状态的判断正确的是

(A)0到t1时间内,小车速度变大     (B)t1到t2时间内,小车速度不变

(C)t2到t3时间内,小车速度变大     (D)t3到t4时间内,小车速度变小

 

试题详情

21.如图5所示,家庭照明灯的一种按键开关上常有一个指示灯。在实际使用中发现:当开关闭合时,只有照明灯发光;开关断开时,照明灯熄灭,指示灯会发出微弱光,以便夜间显示开关的位置。根据这种按键开关的控制特性,能正确表示照明灯(甲)和指示灯(乙)连接方式的电路图是图6中的(   )

试题详情


同步练习册答案