0  248193  248201  248207  248211  248217  248219  248223  248229  248231  248237  248243  248247  248249  248253  248259  248261  248267  248271  248273  248277  248279  248283  248285  248287  248288  248289  248291  248292  248293  248295  248297  248301  248303  248307  248309  248313  248319  248321  248327  248331  248333  248337  248343  248349  248351  248357  248361  248363  248369  248373  248379  248387  447090 

3.日本科学家发现绿茶中的EGCG能中和脂肪酸合成

   酵素(Fatty acid synthase简称:FAS),从而能阻止艾

   滋病毒扩散。已知EGCG的结构式为:

   有关EGCG的说法不正确的是(   )

   A.EGCG分子中含有三个苯环结构

   B.EGCG遇FeCl3溶液能发生显色反应

   C.1molEGCG最多可与含10mol氢氧化

    钠的溶液完全作用

   D.EGCG在空气中易氧化

试题详情

2.抗除虫菊酯是一类高效、低毒、对昆虫具有强烈触杀作用的杀虫剂,其中对光稳定的溴

 氰菊酯的结构简式如图所示:                 下列对该化合物叙述

 正确的是                              (  )

 A.属于芳香烃            B.属于卤代烃

 C.在酸性条件下不水解        D.在一定条件下可以发生加成反应

试题详情

1.对于有机物      的叙述中不正确的是                (  )

   A.常温下,与Na2CO3溶液反应放出CO2

   B.能发生水解反应,1mol该有机物能与8mol的NaOH反应

   C.与稀硫酸共热能生成两种有机物

   D.该物质的化学式是C14H10O9

试题详情

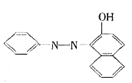
15.2005年2月,我国政府就含有添加“苏丹红一号”色素的食品可能诱发癌症发出警告,

并全面清剿苏丹红。“苏丹红一号”结构简式如下图。有关“苏丹红一号”的下列叙述

中不正确的是   (   )     

                           ( 

 A.分子式为

            B.能与浓溴水发生取代反应

            C.能与FeCl3溶液作用,溶液呈紫色

            D.因苏丹红一号中含有酚羟基,故可被空气氧化产生醛基

专项训练(B卷)

试题详情

14.某有机物A是农药生产中的一种中间体,其结构简式如下。下列叙述正确的是(  )

   A.有机物A属于芳香烃

   B.有机物A可以和Br2的CCl4溶液发生加成反应

   C.有机物A和浓硫酸混合加热,可以发生消去反应

   D.1molA和足量的NaOH溶液反应,最多可以消耗3mol NaOH

试题详情

13.肾上腺素可用于支气管哮喘过敏性反应,其结构简式如下。下列关于肾上腺素的叙述正确的是        (  )

   A.该物质的分子式为C9H16NO3

   B.该物质在强碱的醇溶液中可以发生消去反应

   C.1mol该物质与NaOH溶液反应,可以消耗2mol NaOH

   D.该物质与浓溴水既能发生取代反应,又能发生加成反应

试题详情

12.L-多巴是一种用于治疗帕金森氏综合症的药物,其结构简式如下:

   下列关于L-多巴的性质推测不正确的是   (  )

   A.分子式为C9H11NO4

   B.1molL-多巴可以和3mol NaHCO3发生反应

   C.可以被氧化剂氧化

   D.不能和溴的四氯化碳溶液发生加成反应

试题详情

11.L-多巴是一种治疗帕金森氏综合症的药物,其结构简式如下:

 

下列关于L-多巴性质的推断中正确的是                   (  )

   A.不可能形成高分子化合物

   B.不能跟浓溴水发生取代反应

   C.不易被氧化剂氧化

   D.能跟氢氧化钠溶液反应

试题详情

10.曲酸是一种非常有潜力的食品添加剂,其结构简式如下图所示,试推测曲酸可能具有的性质为                    (  )

A.能发生酯化反应    B.可溶于水、醇  

C.能发生水解反应   D.具有强酸性

试题详情

9.当前,我国正严防含有工业染色剂“苏丹红一号”的有毒食品流入市场。研究表明:核黄素(即维生素B2)能缓解“苏丹红一号”的毒性,其结构如下图

                   

下列有关核黄素的说法中,正确的是

A.核黄素属于分子晶体

B.核黄素能发生银镜反应

C.核黄素能与氯化铁溶液作用呈紫色

D.核黄素能被酸性高锰酸钾溶液氧化

试题详情


同步练习册答案