0  248342  248350  248356  248360  248366  248368  248372  248378  248380  248386  248392  248396  248398  248402  248408  248410  248416  248420  248422  248426  248428  248432  248434  248436  248437  248438  248440  248441  248442  248444  248446  248450  248452  248456  248458  248462  248468  248470  248476  248480  248482  248486  248492  248498  248500  248506  248510  248512  248518  248522  248528  248536  447090 

5、  二倍角公式(能把降次公式、万能公式、半角公式推导出来)

试题详情

4、  两角和与差的三角函数

试题详情

3、  诱导公式(准确理解口诀)

试题详情

2、  同角三角函数的基本关系式(平方、商数、倒数关系)

试题详情

1、  任意角的三角函数;

试题详情

20.(12分)

解:(1)依题意,

     即,故可得

     ∴

(2)当时, 若第年初无效,则

     则

    得证

试题详情

18.(13分)

解:(1)当时,由,此时定义域为

     当时,由,此时定义域为

(2)令,则,解得

 

试题详情

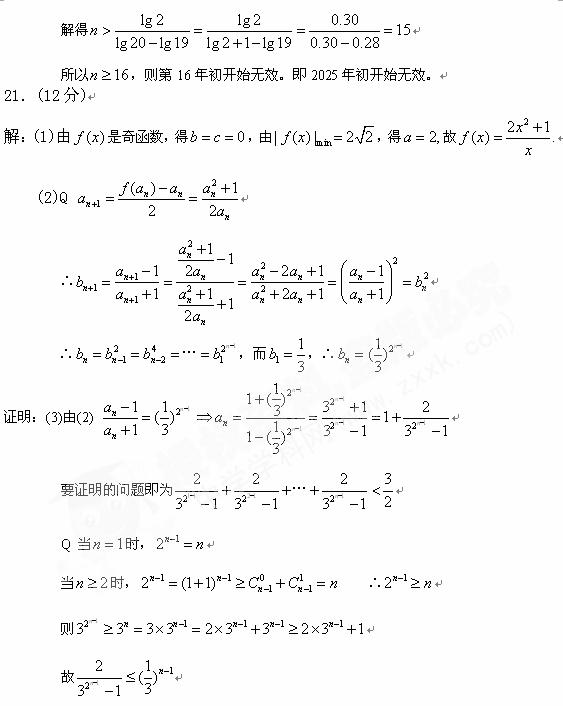
21.(12分)设函数为奇函数,且,数列

足如下关系:

(1)求的解析式;

(2)求数列的通项公式

(3)记为数列的前项和,求证:对任意的

假,真时,

综上,的取值范围是.

试题详情

20.(12分)某市2009年初拥有汽车40万量,每年年终将有当年汽车总量的5%报废,在第二年年初又将有一部分新车上牌,但为了保持该市空气质量,需要该市的汽车拥有量不超过60万量,故该市采取限制新上牌车辆数的措施进行控制,所以该市每年只有万辆新上牌车。

   (1)求第年年初该市车辆总数(2010年为第一年);

(2)当时,试问该项措施能否有效?若有效,说明理由;若无效,请指出哪一年初开始无

效。(参考数据:)

试题详情

19.(12分)设数列的前项和为

   (1)求证:数列是等比数列;

(2)若为数列的前项和,求

试题详情


同步练习册答案