0  249433  249441  249447  249451  249457  249459  249463  249469  249471  249477  249483  249487  249489  249493  249499  249501  249507  249511  249513  249517  249519  249523  249525  249527  249528  249529  249531  249532  249533  249535  249537  249541  249543  249547  249549  249553  249559  249561  249567  249571  249573  249577  249583  249589  249591  249597  249601  249603  249609  249613  249619  249627  447090 

21.(本小题满分13分)已知且不等式的解集为

  (1)求的解析式;

  (2)设数列满足:,求

  (3)设,数列的前n项和为,求证:

试题详情

20.(本小题满分13分)已知A、B、C是椭圆m:上的三点,其中点A的坐标为,BC过椭圆m的中心,且

(1)求椭圆m的方程;

(2)过点M(0,)作直线l与椭圆m交于两点P、Q,设D为椭圆m与y轴负半轴的交点,且,求直线l的方程.

试题详情

19.(本小题满分13分)已知四棱锥P-ABCD(如图),底面是边长为2的正方形,侧棱PA⊥底面ABCD,M、N分别为AD、BC的中点,MQ⊥PD于Q.

(1)求证:平面PMN⊥平面PAD;

(2)PA=2,求PM与平面PCD所成角的正弦值;

(3)求二面角P-MN-Q的余弦值.

试题详情

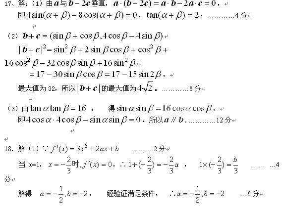
18.(本小题满分12分)已知时都取得极值.

(1)求a,b的值;

(2)若对都有恒成立,求c的取值范围.

试题详情

17.(本小题满分12分)设向量

(1)若垂直,求的值;

(2)求的最大值;

(3)若,求证: .

试题详情

16.(本小题满分12分)已知函数,且给定条件

  (1)求的最大值及最小值;

  (2)若又给条件,且的充分条件,求实数m的取值范围.

试题详情

15.已知△ABC中,角A、B、C的对边分别为abc,AH为BC边上的高,以下结论:

   ①   ②

    ③    ④

   其中正确的是      .(写出所有你认为正确的结论的序号)

试题详情

14.将正整数排成下表:

   1

   2   3   4

   5   6   7   8   9

   10  11  12  13  14  15  16

   ……

则数表中的300应出现在第     行;

试题详情

13.若某几何体的三视图(单位:cm)如图所示,则此几何体的体积是         

试题详情

12.极坐标方程分别为的两个圆的圆心距为_____________;

试题详情


同步练习册答案