0  253898  253906  253912  253916  253922  253924  253928  253934  253936  253942  253948  253952  253954  253958  253964  253966  253972  253976  253978  253982  253984  253988  253990  253992  253993  253994  253996  253997  253998  254000  254002  254006  254008  254012  254014  254018  254024  254026  254032  254036  254038  254042  254048  254054  254056  254062  254066  254068  254074  254078  254084  254092  447090 

5、测量一只量程已知的电压表内阻,器材如下:

A. 待测电压表    (量程3V,内阻约3KΩ)

B.电流表      (量程0.6A,内阻0.01Ω)

C. 定值电阻  R   (阻值2KΩ,额定电流0.5A)

D.电源    E   (电动势约3V,内阻不计)

E.开关两只,S1、S2,导线若干

(1)某同学设计了如图(甲)所示的测量电路,在实验操作时,发现不可行。你认为主要问题是                                

(2)请从上述所给器材中选用所需器材,帮助该同学设计一个能尽量减小实验误差的测量电路,并在虚线框内画出原理图,要求标明给定器材的符号。用需要测量的物理量和电路中器材已给的物理量,写出电压表内阻的计算式Rv=             。并从图(乙)所给的器材中选出你所需要的器材,连接成实验电路图。

试题详情

4、在"测定金属的电阻率"的实验中,用螺旋测微器测量金属丝直径时的刻度位置如图所示,用米尺测量金属丝的长度l=0. 810 m.金属丝的电阻大约为4Ω,先用伏安法测出金属丝的电阻,然后根据电阻定律计算出该金属材料的电阻率.

(1)从图中读出金属丝的直径为     mm.

 (2)在用伏安法测定金属丝的电阻时,除被测电阻丝外,还有如下供选择的实验器材:

A.直流电源:电动势约4.5 V,内阻很小;

B.电流表A1:量程0-0.6 A,内阻0. 125Ω;

C.电流表A2:量程0-3. 0 A,内阻0. 025Ω;

D.电压表V:量程0-3 V,内阻3 kΩ;

E.滑动变阻器R1:最大阻值10Ω;

F.滑动变阻器R2:最大阻值50Ω;

G.开关、导线等.

在可供选择的器材中,应该选用的电流表是    ,应该选用的滑动变阻器是     

(3)根据所选的器材,在如图所示的方框中画出实验电路图.

(4)若根据伏安法测出电阻丝的电阻为Rx=4. 1Ω,则这种金属材料的电阻率为   Ω·m.(保留二位有效数字)

试题详情

3、某研究性学习小组为探究小灯泡灯丝电阻与温度的关系,设计并完成了有关的实验,以下是实验中可供选用的器材. 

?A.待测小灯泡(额定功率6W,额定电流0.5A)

?B.电流表(量程0-0.6A,内阻0.1Ω)

?C.电压表(量程0-5V,内阻约5kΩ)

?D.电压表(量程0-15V,内阻约15kΩ)

?E.滑线变阻器(最大阻值50Ω)

?F.滑线变阻器(最大阻值1kΩ)

?G.直流电源(电动势15V,内阻可忽略)

H.开关一个,导线若干 

实验中调节滑线变阻器,小灯泡两端电压可以从零至额定电压范围内变化,从而测出小灯泡在不同电压下的电流. 

(1)请在虚线框中画出为完成上述实验而设计的合理的电路图.并在每个选用的器材旁标上题目所给的字母序号. 

                      

                                图5-40

(2)如图所示是该研究小组测得小灯泡的I-U关系图线.由图线可知,小灯泡灯丝电阻随温度的升高而_________________(填“增大”、“减小”或“不变”);当小灯泡两端所加电压为6V时,其灯丝电阻值约为_________________Ω.(保留两位有效数字)

试题详情

2、用以下器材测量一待测电压表V1的内阻R1(量程为1.5V,内阻1400-1600Ω): 电源E,电动势约为3V,内阻可忽略;电压表V2,量程为3V;电阻R0,阻值R0=1200Ω;滑线变阻器R,最大阻值约为100Ω;单刀单掷开关K,导线若干.   (1)请在方框中画出实验电路原理图(原理图中的元件要用题中相应的英文字母标注). (2)根据电路图,在实物图上连线. (3)若电压表V1的读数用U1表示,电压表V2的读数用U2表示,则由已知量和测得量表示R1的表达式为R1=______.

试题详情

1、用多用表的欧姆挡“×10Ω”挡测量一个电阻的阻值,发现表的指针偏转角度极小,为了准确测定该电阻的阻值,正确的判断和做法是 (   )

A、这个电阻的阻值肯定也是极小的

B、应把选择开关换到“×1Ω”挡,将欧姆表重新调零后再进行测量

C、应把选择开关换到“×100Ω”挡,将欧姆表重新调零后再进行测量

D、为了使测量值比较准确,应该用两手分别将两表笔与待测电阻两端紧紧捏在一起,使表笔与待测电阻接触良好

试题详情

4.实物图的连接:实物图连线应掌握基本方法和注意事项。

⑴注意事项:

①连接电表应注意量程选用正确,正、负接线柱不要接错。

②各导线都应接在接线柱上,不应在导线中间出现分叉。

③对于滑动变阻器的连接,要搞清楚接入电路的是哪一部分电阻,在接线时要特别注意不能将线接到滑动触头上。

⑵基本方法:

①画出实验电路图。

②分析各元件连接方式,明确电流表与电压表的量程。

③画线连接各元件。(用铅笔画线,以便改错)连线方式应是单线连接,连线顺序应先画联电路,再画并联电路。

   一般先从电源正极开始,到电键,再到滑动变阻器等。按顺序以单线连接方式将干路中要串联的元件依次串联起来;然后连接支路将要并联的元件再并联到电路中去。连接完毕,应进行检查,检查电路也应按照连线的方法和顺序。

典型示例迁移

例题1、现要测定一个额定电压4V、额定功率1.6W的小灯泡(图中用×表示)的伏安特性曲线。要求所测电压范围为0.1V-4V。

现有器材:直流电源E(电动势4.5V,内阻不计),电压表 V1  (量程4.5V,内阻约为4×104Ω),电流表  A1(量程250mA,内阻约为2Ω),电流表 A2  (量程500mA,内阻约为1Ω),滑动变阻器R(最大阻值约为30Ω),电键S,导线若干。

如果既要满足测量要求,又要测量误差较小,应该选用的电流表是      ,下面两个电路应该选用的是        

解析:在测量小灯泡的伏安曲线时,由于题目要求电压范围为0.1V-4V,因此滑动变阻器采用分压式接法。根据估算通过小灯泡的额定电流为I=0.4A,因此电流表应该选用A2   。在伏安法测量过程中,由于

临界电阻大于小灯泡电阻,因此应该选择电流表外接法即选择甲电路进行测量。

变式训练1、某实验小组要描绘一个标有“3.8V,1W”的小灯珠RL的伏安特性曲线,所供选择的器材除了导线和开关外,还有以下一些器材可供选择:

A.电压表V(量程5V,内阻约为5kΩ)

B.直流电源E(电动势4.5V,内阻不计)

C.电流表A1(量程250mA,内阻约为2Ω)

D.电流表A2(量程500mA,内阻约为1Ω)

E.滑动变阻器R1(阻值0 ~ 10Ω)

F.滑动变阻器R2(阻值0 ~ 200Ω)

(1)为了使调节方便,测量的准确度较高,应选用电流表为    ;滑动变阻器为    .(填写仪器符号)

(2)要求实验中小灯珠电压从零逐渐增大到额定电压,测量误差尽可能小.请你为该实验小组设计电路图,并在图中标出器材的符号,画在下面方框中.

(3)下面曲线是该学习小组根据实验的数据在方格纸上作出该灯珠的伏安特性曲线.请求出小灯珠在电压为1.00V和2.00V时的电阻值并说明它们大小不同的原因.(结果保留2位有效数字.)

 

(4)某小组按实验要求设计出正确电路图并正确连线后,合上电键,慢慢增大小灯珠的电压,发现刚开始时两电表均有读数,但小灯珠不会发光,请简要分析原因:

    _________________________________________________________________ .

变式训练2、小灯泡灯丝的电阻会随温度的升高而变大.某同学为研究这一现象,用实验得到如下数据(I和U分别表示小灯泡上的电流和电压):

(1)在左下框中画出实验电路图. 可用的器材有:电压表、电流表、滑线变阻器(变化范围0-10Ω)、电源、小灯泡、电键、导线若干.

(2)在右图中画出小灯泡的U-I曲线.

(3)某电池的电动势是1.5V,内阻是2.0Ω.将本题中的灯泡接在该电池两端,小灯泡的实际功率是多少?

例题2、电流表的内阻在0.1 Ω---0.2 Ω之间,现要测量其内阻,可选用的器材如下:A、待测电流表A1(量程0.6A);B、电压表V1(量程3V,内阻约为2kΩ);C、电压表V2

(量程15V,内阻约为10 kΩ);D、滑动变阻器R1(最大阻值10 Ω);E、定值电阻R2(阻值5 Ω);F、电源E(电动势4V);G、电键S及导线若干。

(1)、电压表应选     

(2)、画出实验电路图,如测得电压表的读数为U,电流表的示数为I,则电流表A1的内阻的表达式为:RA=       

解析:仪器的选择。很明显,电源的电动势只有4V,如果选择量程为15V电压表V2,则电压表最大的示数不足满偏的1/3,读数误差较大,因此应选择量程为3V的电压表V1

电路的设计。因为有电压表和电流表,要测电流表的内阻,首先想到的是将电压表直接接在是流表的两端,由欧姆定律可求出电流表的内阻。但由于本题中电流表的内阻很小,在0.1 Ω---0.2 Ω之间,因此电流表两端的电压也很小,最大为0.12V,这样用最小量程为3V的电压表无法准确读数,所以应将阻值为5 Ω定值电阻R2串联在电流表中,这样欧姆定律算出的电阻便是定值电阻及电流表内阻之和,即。电路图如图所示。

变式训练3、有一只电阻RX,其阻值大约在40-50Ω之间,需要进一步测定其阻值。现有的器材有:

①电池组E(电动势9V,内阻约0.5Ω)

②伏特表V(量程0-10V,内阻约20kΩ)

③毫安表A1(量程0-50mA,内阻约20Ω)

④毫安表A2(量程0-300mA,内阻约4Ω)

⑤滑动变阻器R1(0-100Ω,额定电流1A)

⑥滑动变阻器R2(0-1700Ω,额定电流0.3A)

⑦电键一只,导线若干。

有两种可供选择的电路如图1和图2所示。实验中要求多测几组电流、电压值。

 

⑴为了实验能正常进行并减小系统误差,而且要求滑动变阻器要便于调节,在实验中应选图______所示的电路;应选代号为______的毫安表和代号为______的滑动变阻器。该实验的系统误差主要是由____________引起的,这个因素总是使实验的测量值比真实值偏______。

⑵若已知所用的毫安表的准确电阻值,则应选用图_____所示的电路进行测量。

变式训练4、某同学为了较精确的测量一阻值约为20Ω的电阻Rx的阻值.

①在以下备选器材中电流表应选__________,电压表应选_______,变阻器应选_________.(只填写器材对应的字母代号)

电源E(电动势3 V、内阻可忽略不计)

电流表A1(量程50 mA,内阻约12Ω)

  电流表 A2(量程3 A, 内阻约0.12 Ω)

电压表V1(量程3 V,内阻约3 kΩ)

电压表V2(量程15 V,内阻约15 kΩ)

滑动变阻器R1(0-10 Ω,允许最大电流2.0 A)

滑动变阻器R2(0-1000 Ω,允许最大电流0.5 A)

定值电阻R(30Ω,允许最大电流1.0A)

开关及导线若干

②请在方框中画出实验电路图(要求直接测量量的变化范围尽可能大一些,所选器材用对应符号标出)。

③若某次测量中,电压表读数为U,电流表读数为I,则计算待测电阻的阻值表达式为Rx________________

变式训练5:有一电阻Rx,其阻值在100-200Ω之间,额定功率为0.25W。要用伏安法较准确地测量它的阻值,实验器材有:☆

安培表A1,量程为50mA,RA1=100Ω

安培表A2,量程为1A,RA2=20Ω

电压表V1,量程为5V,RV1=10kΩ

电压表V2,量程为15V, RV2=30kΩ 

变阻器R1,变阻范围0-20Ω ,2A

变阻器R2,变阻范围0-1000Ω,1A

9V电源,电键,导线。

⑴实验中应选用的电流表、电压表、变阻器分别是:                  。  

⑵画出所用实验电路图。

例题3、从下表中选取出适当的实验器材,设计一电路来测量电流表A1的内阻r1,画在下面的方框中,要求方法简捷,有尽可能高的精确度,并能测出多组数据。

器材(代号)
规格
电流表(A1)
量程10mA,内阻r1待测(约40Ω)
电流表(A2)
量程500μA,内阻r2=750Ω
电压表(V)
量程10V,内阻r3=10kΩ
电阻(R1)
阻值约100Ω,作保护电阻用
滑动变阻器(R2)  
总阻值约50Ω
电池(E)
电动势1.5V,内阻很小
电键(S)
 
导线若干
 

解析:要测量电流表A1的内阻,按常规思想应用伏安法,将电压表并联在待测电流表两端,但根据本题所提供的仪器,我们可以首先肯定,在本实验中不可能用到电压表,因为电源的电动势只有1.5V,而电压表的量程为10V,最多不到满偏的1/6,用它来读数误差太大,因此该实验能用到的电表只可能用两块电流表。

两块电流表有可能串联,也有可能并联,但题目中电流表A2的内阻r2已知,因此将两电流表并联,根据并联规律I1r1=I2r2可求出电流表A1的内阻r1=

加在电流表两端的电压最大值Um=Imr2=0.375V,而滑动变阻的最大阻值只有50Ω,如果将滑动变阻器接成限流,会超过电流表的量程,将它们烧坏。如果仅仅将滑动变阻器接成分压,滑动变阻器可调节的范围很小,只有全长的1/4,这样测量的次数比较少。故应将定值电阻R1接在干路上用作限流,电路图如图所示。

针对训练6、用以下器材测量一待测电阻的阻值。器材(代号)与规格如下:

电流表A1(量程250mA,内阻r1为5Ω);标准电流表A2(量程300mA,内阻r2约为5Ω);

待测电阻R1(阻值约为100Ω);滑动变阻器R2(最大阻值10Ω);

电源E(电动势约为10V,内阻r 约为1Ω);单刀单掷开关S,导线若干。

⑴要求方法简捷,并能测多组数据,画出实验电路原理图,并标明每个器材的代号.

⑵需要直接测量的物理量是_______,用测的量表示待测电阻R1的计算公式是R1=________。

针对训练7、

??某电压表的内阻在20kΩ-50kΩ之间,现要测量其内阻,实验室提供下列可选用的器材,待测电压表V(量程3V),电流表A1 (量程200μA),电流表A2 (量程 5mA),电流表A3 (量程0.06A),滑动阻器R(最大阻值 ),电源 (电动势4V),电键S.

??(1)所提供的电流表中,应选用___________________________(填写字母代号).

??为了尽量减小误差,要求测多组数据.试在下图方框中画出符合要求的实验电路图

??(其中电源和电键及其连线已画出).

?

例题4、为了撰写关于废旧电池的暑期实践报告,某学校课题研究小组收集了数码相机、手机等用旧了的各种类型的电池及从废旧收音机上拆下的电阻、电容、电感线圈等电路元件。现从这些材料中选取两个待测元件,一是电阻R0(约为2kΩ),二是手机中常用的锂电池(电动势E标称值为3.7V,允许最大放电电流为100mA)。在操作台上还准备了如下实验器材:

A.电压表V(量程4V,电阻RV 约为4.0kΩ)

B.电流表A1(量程100mA,电阻RA1 约为5Ω)

C.电流表A2(量程2mA,电阻RA2 约为50Ω)

D.滑动变阻器R1(0-40Ω,额定电流1A)

E.电阻箱R2(0-999.9Ω)

F.开关S一只、导线若干

⑴为了测定电阻R0的阻值,小组的一位成员,设计了如图所示的电路原理图,所选取的相应的器材(电源用待测的锂电池)均标在图上,其他成员发现他在器材选取中有不妥之处,你认为应该怎样调整?

                                     

⑵在实际操作过程中,发现滑动变阻器R1、电流表A1已损坏,请用余下的器材测量锂电池的电动势E和内阻r。

(1) 请你在方框中画出实验电路图(标注所用器材符号)

(2)为了便于分析,一般采用线性图象处理数据,请写出与线性图象对应的相关物理量间的函数关系式:         

解析

⑴待测电阻约2kΩ,用3.7V电池供电时最大电流约为

mA,因此电流表用A1量程太大,换用A2表。

⑵①A1损坏,A2量程太小,因此只有电压表可作测量仪器;

只有一块电表时电阻应选用电阻箱或至少两只已知阻值的固定电阻,

电压表测路端电压。

②由于没有电流表,所测数据为路端电压U和电阻箱的阻值R2,由得出路端电压U与R2的线性函数关系式:

变式训练8、某同学设计了一个如图所示的实验电路,用以测定一节干电池的电动势和内电阻,备有下列器材:

A.待测干电池

B.电流表G(满偏电流1mA.内阻Rg=10Ω)

C.电阻箱R,阻值范围为0-9999Ω

D.定值电阻R1(阻值1990Ω)

E.定值电阻R2(阻值2990Ω)

F.开关与导线若干

(1)根据题目提供的实验器材.图中R0应选用  

(2)多次调节电阻箱.读出多组电阻箱示数R和对应的电流表示数I,由测得的数据,绘出了如图所示的图线,则由图线可以得到被测干电池的电动势E=    V.内阻r =   Ω。 

(结果保留两位有效数字)

例题5、在用伏安法测电池电动势和内阻的实验中,一位同学记录了6组数据(如下表)。

   (1)根据数据选定下列供选用仪器,并按本实验要求:

   电流表量程选_____A,电压表量程选______V。滑动变阻器选___________Ω。

   ①干电池=1.5V);

   ②直流电流表(O-0.60A档,内阻O.1Ω),(O-3.00A档,内阻为O.02Ω);

   ③直流电压表(O-3.00V档,内阻5kΩ),(O-15.0V档,内阻为25kΩ);

   ④滑动变阻器(O-10Ω),允许最大电流为1.00A);

   ⑤滑动变阻器(O-1000Ω,允许最大电流0.60A);

   ⑥开关一个,导线若干。

   在图3-66实物图中按所选规格连线。

   (2)根据记录数据在图3-67所示的坐标纸上作U-I图线,并根据图线求出ε=______,r=___________。

解析:(1)根据记录数据和电流、电压有效数字位数,电流表选O.60A量程,电压表选3.OOV量程,变阻器选择O-10Ω。实物连线如图3-68所示。

   由图象知,第2、4、6组数据均偏离在直线两侧,第1、3、5组数据测得较准。第2、4、6组数据在图线之外,对由图线求电动势和内阻没有产生误差影响,因此用图象法求电池的电动势要优于用计算法求电池的电动势和内阻。因为用计算法时,各组数据均参与运算。

  由图线知ε=1.45V,厂=tana=

针对训练9、某同学在实验室测定一节干电池的电动势和内阻,实验室中有如下器材:

A.待测干电池

B.电流表G(0~3mA,内电阻r1=20Ω)

C.电流表A(0~0.6A,内电阻r2=0.20)

D.滑动变阻器甲(最大阻值10Ω)

E.滑动变阻器乙(最大阻值100Ω) 

F.定值电阻R1=100Ω

G.定值电阻R2=500Ω        

H.定值电阻R3=1.5kΩ

开关、导线。

由于没有电压表,为此他设计了如图所示的电路完成了实验要求的测量。

①为了方便并能较准确测量,滑动变阻器应选     ,定值电阻应选用     。(填写定值电阻前的序号) 

②若某次测量中电流表G的示数为I1,电流表A的示数为I2;改变滑动变阻器的位置后,电流表G的示数为I1′,电流表A的示数为I2′。则可知此电源的内电阻测量值为r=      ,电动势测量值为E=       

.

变式训练10、某研究性学习小组利用图甲所示电路测量某电池的电动势E和内电阻r.由于该电池的内电阻r较小,因此在电路中接入了一阻值为2.00Ω的定值电阻R0.闭合开关K,调整电阻箱的阻值,读出电压表相应的示数,得到了如下数据

(R和U分别表示电阻箱读数和电压表读数):

R/Ω
40.00
20.00
12.00
8.00
6.00
5.00
U/V
1.89
1.78
1.66
1.57
1.43
1.35
U/R
0.047
0.089
0.138
0.196
0.238
0.270

    为了比较准确地得出实验结论,该小组的同学准备用图象来处理实验数据,图象的纵坐标表示电压表读数U,则图象的横坐标表示的物理量应该是____________ .在图乙所示的图象中作图,利用图象得到 E =_______V,r = _______Ω.

变式训练11、 在“测定一节干电池电动势和内阻”的实验中

(1)第一组同学利用如图a的实验装置测量,电压表应选择量程    (填“3V”或“15V”),实验后得到了如图b的U-I图象,则电池内阻为     W。( 电压表、电流表均为理想电表)

(2)第二组同学也利用图a的连接测量另一节干电池,初始时滑片P在最右端,但由于滑动变阻器某处发生断路,合上电键后发现滑片P向左滑过一段距离x后电流表有读数,于是该组同学分别作出了电压表读数U与x、电流表读数I与x的关系图,如图c所示,则根据图象可知,电池的电动势为    V,内阻为    W

专题实战热身:

试题详情

3.测量电路的选择

⑴电流表的内、外接问题:(甲)所示电路为电流表外接电路(简称外接法);(乙)所示电路为电流表内接电路(简称内接法)。两种接法的选择可按下列方法进行:

方法一:设电流表、电压表内阻分别为,被测电阻为,则

<时,电压表分流作用小,应选用外接法

>时,电流表分压作用小,应选用内接法

=时,电流表分压作用和电压表分流作用相差不大,两种方法均可。

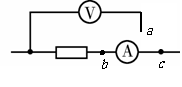
方法二:在均不知的情况下,可采用试触法。如图所示,分别将a端与b、c接触,如果前后两次电流表示数比电压表示数变化明显,说明电压表分流作用大,应采用内接法;如果前后两次电压表示数比电流表示数变化明显,说明电流表分压作用大,应采用外接法。

 

⑵滑动变阻器的分压、限流接法:

为了改变测量电路(待测电阻)两端的电压(或通过测量电路的电流),常使滑动变阻器与电源连接作为控制电路,滑动变阻器在电路中主要有两种连接方式:如图(甲)为滑动变阻器的限流式接法,为待测电阻。它的接线方式是电源、滑动变阻器与待测电阻三者串联。对待测电阻供电电压的最大调节范围是:(是待测电阻,R是滑动变阻器的总电阻,不计电源内阻)。如图(乙)是滑动变阻器的分压式接法。接线方式是电源与滑动变阻器组成闭合电路,而被测电路与滑动变阻器的一部分电阻并联,该接法对待测电阻供电电压的调节范围是:(不计电源内阻时)。

选取接法的原则:

①要求负载上电压或电流变化范围大,且从零开始连续可调,须用分压式接法。

②负载电阻Rx远大于滑动变阻器总电阻R时,须用分压式接法,此时若采用限流式接法对电路基本起不到调节作用。

③采用限流电路时,电路中的最小电流(电压)仍超过电流表的量程或超过用电器的额定电流(电压)时,应采用变阻器的分压式接法。

④负载电阻的阻值Rx小于滑动变阻器的总电阻R或相差不大,并且电压表、电流表示数变化不要求从零开始起调,可用限流式接法。 

⑤两种电路均可使用时应优先用限流式接法,因为限流电路结构简单,总功率较小。

滑动变阻器的粗调和微调作用:

①在限流电路中,全电阻较大的变阻器起粗调作用,全电阻较小的变阻器起微调作用。

②在分压电路中,全电阻较小的变阻器起粗调作用,全电阻较大的变阻器起微调作用。

试题详情

2.电学实验仪器的选择:

⑴根据不使电表受损和尽量减少误差的原则选择电表。首先保证流过电流表的电流和加在电压表上的电压均不超过使用量程,然后合理选择量程,务必使指针有较大偏转(一般要大于满偏度的1/3),以减少测读误差。

⑵根据电路中可能出现的电流或电压范围选择滑动变阻器,注意流过滑动变阻器的电流不超过它的额定值,对大阻值的变阻器,如果是滑动头稍有移动,使电流、电压有很大变化的,不宜采用。

⑶应根据实验的基本要求来选择仪器,对于这种情况,只有熟悉实验原理,才能作出恰当的选择。总之,最优选择的原则是:方法误差尽可能小;间接测定值尽可能有较多的有效数字位数,直接测定值的测量使误差尽可能小,且不超过仪表的量程;实现较大范围的灵敏调节;在大功率装置(电路)中尽可能节省能量;在小功率电路里,在不超过用电器额定值的前提下,适当提高电流、电压值,以提高测试的准确度。

试题详情

1.电路设计原则:正确地选择仪器和设计电路的问题,有一定的灵活性,解决时应掌握和遵循一些基本的原则,即“安全性”、“方便性”、“精确性”原则,兼顾“误差小”、“仪器少”、“耗电少”等各方面因素综合考虑,灵活运用。

⑴正确性:实验原理所依据的原理应当符合物理学的基本原理。

⑵安全性:实验方案的实施要安全可靠,实施过程中不应对仪器及人身造成危害。要注意到各种电表均有量程、电阻均有最大允许电流和最大功率,电源也有最大允许电流,不能烧坏仪器。

⑶方便性:实验应当便于操作,便于读数,便于进行数据处理。

⑷精确性:在实验方案、仪器、仪器量程的选择上,应使实验误差尽可能的小。

试题详情

(二)选考题:共45分。请考生从给出的3道物理题、3道化学题、2道生物题中每科任选一题做答,并用2B铅笔在答题卡上把所选题目的题号涂黑。注意所做题号必须与所涂题目的题号一致,在答题卡区域指定位置大题。如果多做,则每学科按所做的第一题计分。

33.[物理-选修3-3](15分)

  (1)(5)下列说法正确的是                                       (   )

    A.一定质量的理想气体,若体积不变,当分子热运动变得剧烈时,压强一定变大

    B.热量只能从高温物体传到低温物体

    C.物体的温度越高,每个分子的动能越大

    D.如果没有漏气,也没有摩擦的能量损失,内燃机就可以把内能全部转化为机械能

  (2)(10分)如图所示,有一长为L、右端开口的圆柱形气缸,一个质量不计的薄活塞封闭一定质量的理想气体,开始时活塞处在离左端L处,气体温度为27℃,现对气体加热。求:当加热到427℃时,气体的压强。(已知外界大气压恒为p0,绝对零度为-273℃,活塞阻力不计)

34.[物理-选修3-4](15分)

  (1)(5分)下列说法正确的是                                     (   )

        A.回复力一定是振动物体所受的合外力

        B.弹簧振子振动过程中,速度增大时,加速度一定减小

        C.声源与观察者相互接近时,观察者接收到的声波的频率会降低

        D.由波速、波长和频率的关系可知,波源频率越高,波的传播速度越大

  (2)(10分)玻璃半圆柱体的半径为R,横截面如图所示,圆心为OA为圆柱体上,光束1指向圆心,方向与AO夹角为30°,光束2的入射点为B,方向与底面垂直,∠AOB = 60°,已知玻璃对这种光的折射率。求:两束光线经柱面和底面折射后的交点与O点的距离d

35.[物理-选修3-5](15分)

  (1)(5分)下列说法正确的是                                     (   )

        A.玻尔的跃迁假设是根据粒子散射实验分析得出的

        B.在光电效应现象中,入射光的强度越大,光电子的最大初动能越大

        C.衰变所释放的电子是原子核内的中子转化成质子和电子所产生的

        D.射线一般伴随着射线产生,粒子是比粒子还要小的组成原子核的中性微粒

  (2)(10分)如图所示,光滑的水平面上有一个质量为M = 2m的凸型滑块,它的一个侧面是与水平面相切的光滑曲面,滑块的高度为h。质量为m的小球,以速度v0在水平面上迎着光滑曲面冲向滑块。试分析计算v0应满足什么条件小球才能越过滑块。

36.化学-选修2化学与技术(15分)

联碱法(侯氏制碱法)和氨碱法的生产流程简要表示如下图:

  (1)沉淀池中发生反应的化学方程式为______________________________________/

  (2)X是___________________,Y是___________________(填化学式);

  (3)Z中除了溶解的氨气、食盐外,其它溶质还有____________________________;排出液W中的溶质除了氢氧化钙外,还有______________________________;

  (4)从理论上分析,在氨碱法生产过程中___________________(填“需要”、“不需要”)补充氨气,从原料到产品,氨碱法总反应过程用化学方程式可表示为____________;

  (5)根据联碱法中从母液中提取氯化铵晶体的过程推测,所得结论正确的是__________;

a.常温时氯化铵的溶解度比氯化钠小

b.通入氨气的目的是使氯化铵更多析出

c.加入食盐细粉的目的是提高Na+的浓度,促进碳酸氢钠结晶析出

  (6)联碱法中,每当通入NH344.8L(已折合成标准状况下)时可以得到纯碱100.0g,则NH3的利用率为________________。相比于氨碱法,联碱法的一项优点是_________。

37.[化学-选修3物质结构与性质](15分)

均由两种短周期元素组成的A、B、C、D化合物分子,都含有18个电子,它们分子中所含原子的数目依次为2、3、4、6,A和C分子中的原子个数比为1:1,B和D分子中的原子个数比为1:2,D可作为火箭推进剂的燃料。

请回答下列问题:

  (1)B、C、D分子中相对原子质量较大的三种元素第一电离能

由大到小排列的顺序为_________(用元素符号回答);

  (2)A与HF相比,其熔、沸点较低,原因是____________;

  (3)B分子的空间构型为___________________形,该分子属

于______________分子;(填“极性”或“非极性”)

  (4)C为一种绿色氧化剂,有广泛应用。请写出Cu、稀H2SO4与C反应制备硫酸铜的离子方程式___________________,该反应中反应物Cu原子的基态电子排布式为___________________,铜晶体中铜原子的堆积方式为面心立方堆积,右图是铜晶体一个晶胞的示意图,晶胞中含___________________个铜原子;

  (5)D分子中心原子的杂化方式是____________,由该原子组成的单质分子中包含________个键,与该单质分子互为等电子体的常见分子的分子式为________。

38.[化学-选5有机化学基础](15分)

某有机物A的相对分子质量是86,在一定条件下可以发生如下转化(其他产物和水已经省略),A可以使溴的四氯化碳溶液褪色。核磁共振氢谱表明F分子中有两种氢原子。已知

I.(R为烃基,X是卤素原子)

II.

  (1)E分子的结构简式是____________________;

  (2)H是一种可以使澄清石灰水变浑浊的气体,请写出G→H的化学方程式__________;

  (3)写出A分子中官能团的名称______________________________;

  (4)D俗称有机玻璃,是迄今为止合成透明材料中质地最优异,价格又比较适宜的高分子材料。请写出高分子材料D的结构简式____   ______说出C→D的反应类型________;

  (5)1molA的一种同分异构体J可以与足量的银氨溶液反应,得到2mol的银单质。写出J的一种可能结构简式__________若另一种1mol同分异构体I与足量的银氨溶液反应,得到4mol的银单质,写出I的二种可能结构简式__________。

39.[生物-选修1生物技术实践](15分)

土壤中某些微生物能够产生纤维素酶来分解利用植物体内大量的纤维素。对于这些微生物的研究和应用,使人们能够利用秸秆等废弃物生产酒精,其技术流程如下:

 

  (1)分离土壤中纤维素分解菌的实验流程是:土壤取样→选择培养→__________→鉴别培养。最好选择__________的土壤才能筛选到所需要的微生物。

  (2)在筛选纤维素分解菌的过程中,常用__________染色法,通过是否产生__________来筛选纤维素分解菌,培养基中的碳源为__________。

  (3)纤维素酶主要在上图__________过程中发挥作用。进行工业化酶解时,为了使纤维素酶能反复使用,可以采用__________技术。

  (4)②过程需要的菌种是__________,要获得酒精需要控制的必要条件是__________,分离提纯酒精的方法通常是__________。

40.[选修3-现代生物科技专题](15分)

2007年科学家成功地将人体皮肤细胞改造成可以分化为多种细胞的“万能细胞”。下图是“万能细胞”的诞生过程,图中的4个基因OCT4、SOX2、NANOG和LIN28是胚胎干细胞中能高度表达并决定其“全能性”的基因。请据图回答下列问题:

  (1)胚胎干细胞又称ES细胞,早由__________中分离出来的一类细胞,如果胚胎发育到了囊胚期,这时的__________细胞就是ES细胞。

  (2)过程②构建携带“目的基因”的逆转录病毒时,逆转录病毒的作用是__________,该过程必须使用__________和__________两种工具酶。

  (3)图中的“目的基因”是指____________________。

  (4)获得婴儿的单个皮肤细胞的过程需要利用的工具酶是____________________。

  (5)“万能细胞”经体外诱导分化,可以培育出人造组织器官,这样培育的特殊细胞或器官移回病人体内与异体器官移植相比,最大的优点是____________________。

  (6)基因表达载体的构建是图中过程__________(填序号),一个基因表达载体的组成除了有目的基因外,还必须有____________________等。

试题详情


同步练习册答案