0  254993  255001  255007  255011  255017  255019  255023  255029  255031  255037  255043  255047  255049  255053  255059  255061  255067  255071  255073  255077  255079  255083  255085  255087  255088  255089  255091  255092  255093  255095  255097  255101  255103  255107  255109  255113  255119  255121  255127  255131  255133  255137  255143  255149  255151  255157  255161  255163  255169  255173  255179  255187  447090 

14.已知数列对任意的p、q有ap+aq=ap+q,若a1=,则a36=__________.

试题详情

13.若,则_______ 。               

试题详情

11.已知上是减函数,那么a的取值范围是(   )

   A.(0,1)   B.   C.    D.

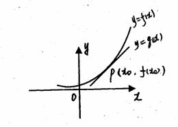
  12.已知可导函数在点处切线为(如图),设,则(   )

   A.的极大值点

   B.的极小值点

   C.的极值点

   D.的极值点

第II卷

本卷包括必考题和选考题两部分,第13题-第21题为必考题,每个试题考生都必须做答,第22、23、24题为选考题,考生根据要求做答.

试题详情

10.已知函数在一个周期内的图象如图所示,要得到函数的图象,则需将函数的图象(   )

A.向右平移

B.向左平移

C.向右平移   

D.向左平移

试题详情

9.设函数是定义在R上的奇函数,若的最小正周期为3,且

 的取值范围是(   )

   A.     B.

   C.       D.

试题详情

8.在△ABC中,角A,B,C的对边分别为a,b,c,则c等于(   )

A.     B.   C.4    D.

试题详情

7.设0<a<1,实数x,y满足x+=0,则y关于x的函数的图象大致形状是(   ) 

 

       A         B        C        D

试题详情

6.在曲线上的点    处的切线倾斜角为45°,则该点坐标是(   )

   A.(0,0) B.(2,4) C.      D.

试题详情

5.下列函数既是奇函数,又在区间[-1,1]上单调递减的是(   )

   A.      B.

   C.      D.

试题详情

4.已知是公比为  q的等比数列,且成等差数列,则q=  (   )

   A.1或-    B.1    C.-   D.-2

试题详情


同步练习册答案