0  254920  254928  254934  254938  254944  254946  254950  254956  254958  254964  254970  254974  254976  254980  254986  254988  254994  254998  255000  255004  255006  255010  255012  255014  255015  255016  255018  255019  255020  255022  255024  255028  255030  255034  255036  255040  255046  255048  255054  255058  255060  255064  255070  255076  255078  255084  255088  255090  255096  255100  255106  255114  447090 

11.如图是一个由三根细铁杆组成的支架,三根细铁杆的两两夹角都是60°,一个半径为1的球放在该支架上,则球心到P的距离为     

试题详情

10.在每年的春节后,某市政府都会发动公务员参与到植树绿化活动中去.林业管理部门在植树前,为了保证树苗的质量,都会在植树前对树苗进行检测.现从甲、乙两种树苗中各抽测了10株树苗的高度,量出他们的高度如图.根据抽测结果如图所示,对甲、乙两种树苗的高度作比较,写出两个统计结论:            

试题详情

9.已知数列{an}满足a1 = 2,an + 1 = N*),则连乘积a1·a2·a3·…·a2009·a2010的值为     

试题详情

8.设抛物线y2 = 2x的焦点为F,过M ()的直线与抛物线相交于AB两点,与抛物线的准线相交于C点,|BF| = 2,则△BCF与△ACF的面积之比= (   )

   A.              B.              C.              D.

试题详情

7.已知函数f (x) = ax3 + bx2的图象在点(–1,2)处的切线恰好与x – 3y = 0垂直,又f (x)在[mm + 1]上单调递增,则m的取值范围是(   )

   A.m≤–3                             B.m≥0           

C.m<–3或m>0                      D.m≤–3或m≥0

试题详情

6.已知二次函数f (x) = ax2bx + c,且关于x的方程f (x) = 0的两个根x1x2都在区间(0,1)内,则f (0)·f (1)的最大值为(   )

A.             B.             C.             D.

试题详情

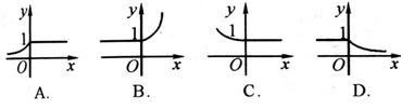
5.定义运算ab =,则函数f (x) = 的图象是(   )

试题详情

4.10件产品中有3件次品,不放回地抽取两次,每次取一件,已知第一次抽出的是次品,则第二次也抽出次品的概率(   )

   A.             B.             C.              D.

试题详情

3.若= (   )

A.              B.2               C.–             D.–2

试题详情

2.程序框图(即算法流程图)如图所示,其输出结果是 (   )

   A.117             B.118             C.126             D.127

试题详情


同步练习册答案