0  269213  269221  269227  269231  269237  269239  269243  269249  269251  269257  269263  269267  269269  269273  269279  269281  269287  269291  269293  269297  269299  269303  269305  269307  269308  269309  269311  269312  269313  269315  269317  269321  269323  269327  269329  269333  269339  269341  269347  269351  269353  269357  269363  269369  269371  269377  269381  269383  269389  269393  269399  269407  447090 

30.Ⅰ. (8分)(1)如果果蝇的红眼和白眼是一对相对性状(基因用A 和a表示),灰色和黑色是一对相对性状(基因用B和b表示)。两只灰身红眼雌、雄果蝇交配得到下表类型和数量的子代。

 
灰身红眼
灰身白眼
黑身红眼
黑身白眼
雄蝇
152
148
48
52
雌蝇
297
0
101
0

①果蝇的红眼和白眼这对相对性状的遗传方式为               。两只灰身红眼亲本中雌性亲本的基因型为        。  

②让子代中灰身雄蝇与黑身雌蝇杂交、后代中黑身果蝇所占比例为       

③在子代中,纯合灰身红眼雌蝇占全部子代的比例为     

Ⅱ(14分)芦笋是常见的雌雄异株植物之一,为XY型性别决定,雌株的性染色体为XX,雄株的性染色体为XY,其染色体数目为2N=20。野生型芦笋叶窄,在野生种群中,一株雌芦笋的一条染色体上某基因发生了突变,由窄叶突变成为阔叶,用该植株与野生型雄株杂交,F1雌雄植株中均有窄叶,也有阔叶。(基因用字母B、b表示)

  (1)在窄叶和阔叶这对相对性状中,显性性状是    

  (2)上述杂交实验的结果能否确定阔叶基因在X染色体上还是在常染色上?     。用文字简要说明推断过程。

 

 

 

  (3)假如控制窄叶和阔叶的基因位于X染色体上。由于雄株的产量高于雌株,某园艺场需要通过一次杂交育种培育出一批在幼苗时期就能识别出雄性的植株,请你设计一个简单实用的杂交方案。(提供的植株有阔叶雌雄株、窄叶雌雄株,要求用遗传图解表示杂交方案,并作简要说明)

试题详情

29.Ⅰ(12分)影响绿色植物光合作用的因素是多方面的,其外界因素有光照强度、CO2含量、温度等,其内部因素有酶的活性、色素的数量、五碳化合物的含量等,请据下图分析:

⑴如果x代表光照强度,光照强度影响光合作用强度,主要是影响    阶段,当光合作用强度达到最大值时,此时限制因素最可能是内部因素中的       

(2)如果x代表CO2的含量,当光合作用强度达到最大值时,此时限制因素最可能是内部因素中的           

⑶如果将该植物置于一个白天温度为25℃,光照为8千勒克斯,夜间温度为15℃的环境中,一昼夜光照6小时,该植物会生长吗?      。请说明理由                         。 [来源:ZX                         。

⑷如果在阴雨天气,温室内光照强度小于5千勒克斯,采取什么措施可以有助于提高光合产量:      。请利用右上图阐明其原因:                    

Ⅱ。(10分)大肠杆菌pUC118质粒的某限制酶唯一酶切序列,位于该质粒的lacZ基因中,lacZ基因中如果没有插入外源基因,lacZ基因便可表达出b-半乳糖苷酶,当培养基中含有IPTG和X-gal时,X-gal便会被b-半乳糖苷酶水解成蓝色,大肠杆菌将形成蓝色菌落;如果lacZ基因中插入了外源基因,带有pUC118质粒的大肠杆菌便不能表达b-半乳糖苷酶,培养基中的X-gal不会被水解成蓝色,大肠杆菌将形成白色菌落。pUC118还携带了氨苄青霉素抗性基因。下图是利用lacZ基因的插入失活筛选重组质粒示意图。据图回答下列问题:

(1)作为受体大肠杆菌应__________________________,以方便筛选已导入重组质粒的受体大肠杆菌。取用氯化钙溶液处理(增加其细胞壁的通透性)过的受体大肠杆菌,置于试管Ⅱ中,并加入     

(2)图中的选择培养基中除含有大肠杆菌必需的葡萄糖、氮源、无机盐、水、生长因子等营养物质外,还应加入____________________等物质,用以筛选导入了重组质粒的受体大肠杆菌。

(3)将上述处理后的大肠杆菌置于图中选择培养基上培养,以检测受体大肠杆菌是否导入重组质粒,请预测菌落的颜色,并分析结果:

                             

                              

试题详情

28.(16分)

七水硫酸镁(MgSO4·7H2O)在印染、造纸和医药等工业上都有广泛的应用。可利用化工厂生产硼砂的废渣M(主要成分是MgCO3,还含有MgO、SiO2、Fe2O3、FeO、CaO、Al2O3等杂质)来制取七水硫酸镁。已知:

    表1  部分阳离子以氢氧化物形式完全沉淀时的pH

沉淀
Al(OH)3
Fe(OH)3
Fe(OH)2
Mg(OH)2
pH
5.2
3.2
9.7
11.2

表2  盐的溶解度(单位为 g/100g水)

温度
10℃
30℃
40℃
50℃
60℃
CaSO4
0.19
0.21
0.21
0.20
0.19
MgSO4·7H2O
30.9
35.5
40.8
45.6
--

由废渣M制取七水硫酸镁的工艺流程如下:

回答下列问题:

(1)过滤I的滤液中加入NaClO溶液的目的是  ▲ 

写出反应的离子方程式  ▲  ,需要加热煮沸的目的是  ▲ 

(2)操作Ⅳ的名称是  ▲ 

(3)与常压过滤相比,抽滤的优点是  ▲  

(4)检验过滤Ⅱ后的滤液中是否含有Fe3+,其实验方法是  ▲ 

(5)沉淀C的化学式是  ▲  ,过滤Ⅲ需趁热过滤的理由是  ▲ 

试题详情

26.(Ⅰ)常温下在20mL0.1 mol·Lˉ1Na2CO3溶液中逐滴加入0.1 mol·Lˉ1 HCl溶液40mL,溶液的pH逐渐降低,此时溶液中含碳元素的微粒物质的量浓度的百分含量(纵轴)也发生变化(CO2因逸出未画出),如右图所示

回答下列问题:

(1)当滴入0.1 mol·Lˉ1HCl溶液amL时,溶液pH为11,此过程发生的主要反应离子方程式是    ;溶液中氢氧根离子和其它离子的浓度关系可表达为c(OHˉ) =   

(2)从理论上讲,若向20mL 0.1 mol·Lˉ1Na2CO3溶液中加入BaCl2粉末3.328×10ˉ7g时开始产生沉淀X,则KSP(X)=    

(3)当加入盐酸使溶液pH为9时,混合液中CO32ˉ、Clˉ、Na+、OHˉ等离子的浓度由大到小的顺序是   

(Ⅱ)“温室效应”是哥本哈根气候变化大会研究的环境问题之一。CO2是目前大气

中含量最高的一种温室气体。因此,控制和治理CO2是解决“温室效应”的有效途径。

(1)将CO2转化成有机物实现碳循环,是减少CO2排放的一种途径。如:

CO2(g)+H2O(l) ==1/2 C2H4(g)+3/2O2(g)   ΔH=+705.5 kJ·molˉ1  

2CO2(g)+3H2O(l) == C2H5OH(1)+3O2(g)  ΔH=+1366.8 kJ·molˉ1  

则由乙烯水化制乙醇的热化学方程式是:   

该反应的熵变△S    0 (填“<”、“>”或“=”)。

(2)在一定条件下,6H2(g) +2CO2(g) CH3CH2OH(g)+3H2O(g)。

CO2转化率(%)
n(H2)/n(CO2)
500
600
700
800
1.5
45
33
20
12
2
60
43
28
15
3
83
62
37
22

根据上表中数据分析:

① 温度一定时,提高氢碳比[n(H2)/n(CO2)],CO2的转化率    (填“增大”“减小”或“不变”)。

② 该反应的正反应为    (填“吸”或“放”)热反应。

③当压强由p1增大到p2时,在右

图中画出CO2转化率的变化曲线。

  27.(Ⅰ) “智能型”大分子,在生物工程中有广泛的应用前景。PMAA是一种“智能型”大分子,可应用于生物制药中大分子和小分子的分离。下列是以A物质为起始反应物合成PMAA的路线:

根据上述过程回答下列问题:

(1)已知A的相对分子质量为56,其完全燃烧的产物中n(CO2):n (H2O)=1∶1,则A的分子式为   

(2)D中含氧官能团的名称为    ;②的反应类型是   

(3)有机物G和H都是D的同分异构体,根据下列事实写出它们的结构简式。

①分析二者的核磁共振氢谱图,结果表明G和H分子中都有4种不同的氢原子且其个数比为1∶2∶2∶3;②G能与NaHCO3溶液反应产生气体, H能在酸或碱条件下发生水解。

G    ; H   

(Ⅱ)(8分)有机物A在一定条件下有如右图的转换关系:

其他相关信息: A为铵盐,有机部分是无支链的链状结构;若控制条件,C能与乙醇1∶1反应生成E, C能与NaOH溶液反应,也能与钠反应,1molC与Na反应生成1molH2;F无支链,属环状化合物。

试回答下列问题:

(1)在A~G中属于酯类化合物的是   

(2)写出F的结构简式:   

(3)写出下列反应的化学方程式:A→B:    ;C→D:   

试题详情

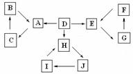
25.(14分)A、B、C、D、E、F、H、I、J有如图所示的转化关系。

图中所有物质均由短周期元素组成,且每个小三角形内的三种物质均至少含有第三周期中的一种相同元素。其它信息见下表:

编号
信   息
1
D为地壳中含量最高的元素组成的单质
2
E为酸性氧化物,能与某种酸反应
3
F不溶于水
4
H为淡黄色固体化合物
5
电解饱和J溶液是工业重要反应
6
C为离子化合物,阴、阳离子均含有金属元素。

(1)写出F的化学式     ,指出H中化学键类型   

(2)常温下测得一定浓度的C溶液的pH=10,用离子方程式表示其原因   

(3)写出 与H式量相同,且阴离子所含的电子数、电荷数均相同的化合物的电子式   

(4)写出C溶液中通入过量CO2的离子方程式:   

(5)电解饱和J溶液产物之一为Y2,将一定量的Y2通入一定浓度的苛性钾溶液中,两者恰好完全反应(已知反应过程放热),生成物中三种含Y元素的离子,其中两种离子的物质的量(n)与反应时间(t)的变化示意图如右图所示。该苛性钾溶液中KOH的质量是     ,至t2时该反应中转移电子的物质的量是   

试题详情

24.(22分)如图甲,两平行金属板间接有如图乙所示的随时间t变化的交流电压u,金属板间电场可看做均匀、且两板外无电场,板长L=0.2m,板间距离d=0.1m,在金属板右侧有一边界为MN的区域足够大的匀强磁场,MN与两板中线OO′ 垂直,磁感应强度 B=5×103T,方向垂直纸面向里。现有带正电的粒子流沿两板中线OO′连续射入电场中,已知每个粒子的速度v0=105m/s,比荷=108C/kg,重力忽略不计,在每个粒子通过电场区域的极短时间内,电场可视为恒定不变。求:

(1)带电粒子进入磁场的最大速度;

(2)若某带电粒子从离极板d/4处射出电场,求它进入电场的可能时刻;

(3)试证明:任何从电场射出的带电粒子,进入磁场后在MN上的入射点和出磁场时在MN上的出射点间的距离为定值,并计算两点间距。

试题详情

23.(20分)如图所示,下端带弯钩的defg是两根足够长且固定在竖直方向上的光滑金属导轨,导轨间距离为L,电阻忽略不计。在导轨的上端接电动势为E,内阻为r的电源。一质量为m、电阻为R的导体棒ab水平放置于导轨下端e、g处,并与导轨始终接触良好。导体棒与金属导轨、电源、开关构成闭合回路,整个装置所处平面与水平匀强磁场垂直,磁场的磁感应强度为B,方向垂直于纸面向外。已知接通开关S后,导体棒ab由静止开始向上加速运动,求:

(1)导体棒ab刚开始向上运动时的加速度以及导体棒ab所能达到的最大速度;

(2)导体棒ab达到最大速度后电源的输出功率;

(3)分析导体棒ab达到最大速度后的一段时间△t内,整个回路中能量是怎样转化的?并证明这一过程能量守恒。

试题详情

22.(18分)如图甲所示,一质量为2 . 0kg 的物体静止在水平面上,物体与水平面间的动摩擦因数为0.20。从 t = 0时刻起,物体受到水平方向的力 F 的作用而开始运动, 8s内 F 随时间 t 变化的规律如图乙所示。求:(g取 10m / s 2)

(1)物体在8s内最大速度的大小;

(2)在图丙的坐标系中画出物体在8s内的v- t 图象;(要求计算出相应数值)

(3)在8s 内水平力 F 所做的功。

试题详情

21.(18分,I小8分,II小题10分)

I.(8分)在“利用打点计时器测定匀加速直线运动加速度”的实验中,打点计时器接在50HZ的低压交变电源上。某同学在打出的纸带上每5点取一个计数点,共取了ABCDEF六个计数点(每相邻两个计数点间的四个点未画出).从每一个计数点处将纸带剪开分成五段(分别为a、b、c、d、e段),将这五段纸带由短到长紧靠但不重叠地粘在xoy坐标系中,如图所示,由此可以得到一条表示v-t关系的图线,从而求出加速度的大小.

 

 ⑴请你在xoy坐标系中用最简洁的方法作出能表示v-t关系的图线(图作在答题卷上指定位置),并指出哪个轴相当于v轴?答:    

⑵从第一个计数点开始计时,为求出0.15s时刻的瞬时速度,需要测出哪一段纸带的长度?答:        

⑶若测得a段纸带的长度为2.0cm,e段纸带的长度为10.0cm,则可求出加速度的大小为    m/s2

II.(12分)测量一只量程已知的电压表内阻,所备器材如下:

A.待测电压表V(量程3V,内阻未知)w.w.^w.k.s.5*

B.电流表A(量程3A,内阻0.01)

C.定植电阻R0(阻值2kΩ,额定电流50m A)

D.电池组E(电动势略小于3V,内阻不计)

E.多用电表

F.开关S1、S2,导线若干

一同学利用上面所给器材,进行如下实验操作:

①首先,用多用表进行粗测:多用电表电阻挡有4个倍率, 分别是该同 学选择倍率,用正确的操作方法测量,发现指针偏角太小(相对左端),为了较准确得进行测量,重新选用倍率。若这时刻度盘上的指针位置如上面图甲所示,那么测量结果是_________

②为了更精确的测出此电压表内阻,该同学设计了如图乙所示 的A、B实验电路。你认为其中较合理的电路图是    ,其理由是        

                       

③用你所选择的电路进行实验时,请说明应测物理量及测量步骤:

                                    

用上述所测各量的符号及R0表示电压表内阻=         

试题详情

20、我国未来将建立月球基地,并在绕月轨道上建造空间站.如图所示,关闭动力的航天飞机在月球引力作用下向月球靠近,并将与空间站在B处对接,已知空间站绕月轨道半径为r,周期为T,万有引力常量为G,下列说法中正确的是(   )

A.图中航天飞机正加速飞向B

B.航天飞机在B处由椭圆轨道进入空间站轨道必须点火减速

C.根据题中条件可以算出月球质量

D.根据题中条件可以算出空间站受到月球引力的大小

第II卷  (非选择题  共180分)

试题详情


同步练习册答案