0  286450  286458  286464  286468  286474  286476  286480  286486  286488  286494  286500  286504  286506  286510  286516  286518  286524  286528  286530  286534  286536  286540  286542  286544  286545  286546  286548  286549  286550  286552  286554  286558  286560  286564  286566  286570  286576  286578  286584  286588  286590  286594  286600  286606  286608  286614  286618  286620  286626  286630  286636  286644  447090 

温室效应引起全球变暖已成事实。最近,澳大利亚科学家又提出,与这一效应相伴随的还有“地球变暗”效应。请回答27--29题

27.图甲为模拟温室效应的小实验,两支同样的温度计静置在阳光下,十分钟后,透明玻璃瓶内温度计的读数可能是(   )

A.25℃    B.12℃  C.10℃ D.8℃

28.图乙中与全球变暖相对应的大气热力作用是(   )

A.①   B.②   C.③   D.④

29.图乙中与“地球变暗”相对应的大气热力作用是(   )

A.①   B.②   C.③   D.④

试题详情

读山谷风的形成示意图,回答24--26题。

24.下列判断正确的是(   )

①此图出现的时间是夜晚 

②此图出现的时间是白天 

③此时吹山风      

④此时吹谷风。

A.①③     B.①④ 

C.②③     D.②④

25.对于图中的气温、气压的分析,正确的是(   )

A.图中的等温线的数值自下往上递增 

B.图中的等压线的数值自下往上递减

C.甲地的气温较同一高度的乙地高  

D.甲地的气压较同一高度的乙地低

26.据实际调查,图中甲地的夜雨较多,其主要原因是该地区(   )

A.夜晚的气温高于白天的气温,气流作上升运动

B.夜晚的气温比周围地区的气温低,气流作下沉运动

C.夜晚的气温比周围地区的气温高,气流作上升运动

D.夜晚的气温比周围地区高,蒸发旺盛,空气中的水汽丰富

试题详情

23.如图所示,能正确表示7月份亚欧大陆与太平洋气压分布及P地风向的是(   )

试题详情

下图示意世界某种气候类型的局部分布地区。完成20--22题。

20.该气候的分布地区中,①地区的分布最高纬度较低(低于35°S),其主要的影响因素是(   )  

    A.海陆分布    B.纬度位置 

C.地形 D.洋流

21.②地区最热月均温约为24℃~28℃,③地区西海

最热月均温约为16℃~21℃,导致这种气温差

别的最主要因素是(   )       

    A.纬度位置      B.海陆位置

    C.洋流 D.地形

22.该气候影响下的农作物一般具有(   )        (   )

A.耐低温干燥的特点

B.耐高温干燥的特点

C.喜高温多雨的特点

D.喜阴喜湿的特点

试题详情

下表反映了2001年-2050年世界移民趋势。据此完成18--19题。

迁出国
数量(万人/年)
迁入国
数量(万人/年)
中国
30.3
美国
110.0
墨西哥
26.7
德国
21.2
印度
22.2
加拿大
17.3
印度尼西亚
18.0
英国
13.6
菲律宾
14.4
澳大利亚
8.3

18.关于人口迁移的叙述,正确的是(   )                     

A.主要由人口多的国家迁往人口少的国家 B.主要由发展中国家迁往发达国家

C.全球迁出人口少于迁入人口      D.主要由亚洲国家迁往拉丁美洲国家

19.下列关于人口迁移影响的叙述,正确的是(   )                 

A.减轻了迁入地的就业压力        B.加重了迁出地的环境压力

  C.为迁入地提供劳动力,促进经济发展   D.对迁出地人们生活观念的更新没有帮助

试题详情

17.下列各国与下图中“产业结构”和“人口年龄结构”图所示特征

相吻合的是(   )

A.美国–甲 –丁   B.印度–甲 –丙  C.德国–乙 –丙  D.巴西–乙 –丁

试题详情

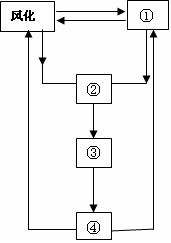
读五种外力相互联系、相互影响的示意图, 完成15--16题。

15.沙尘暴、泥石流属于哪种外力作用(   )

A.①   B.②    C.③    D.④

16.除风化作用外,对地貌景观影响较大的外力作用(   )   A.①②  B.①③  C.②③  D.③④

   

试题详情

读某地等高线图 ,回答12--14题。

12.如果在图中AB处修建水坝,形成的水库最大蓄水水位海拔为100米,那么图中要搬迁的村庄是(   )

A.乙村       B.甲村  

C.丁村       D.丙村

13.如果要在图中区域建一个火情监测点,最好选择(   )

A.戊点         B.辛点  

C.庚点        D.已点

14.该区域的植被类型是(   )

A.亚热带常绿阔叶林    

B.亚热带常绿硬叶林

C.温带落叶阔叶林   

D.热带季雨林

试题详情

读“1998-2006年我国能源生产与消费总量变化图”,回答10--11题。

10.读右图可知(   )

   A.我国能源生产总量在2000

年达到最大值

   B.进入21世纪以后,我国能

源净进口量呈现上升趋势

   C.1998-2006年期间我国一

直进口能源,没有出口能源

   D.图示大多数年份我国能源

生产总量大于消费总量

11.能源安全是我国目前的一个紧 

迫而重大的问题。下列措施能

保证我国能源安全的是(   )

   ①参与国际能源开发,实现能

源进口多元化

②加大能源战略储备,减少对

进口能源依赖

③全面禁止采挖煤炭,使用新能源替代煤炭

④倡导绿色消费,提高能源使用效率

A.②③④      B.①③④ 

C.①②④      D.①②③

试题详情

读右图,回答 7--9题。

7.若该气压系统形成于3月初,则我国北方地区

 不可能出现的气象灾害是(   )

A.暴风雪  B.沙尘暴  

C.寒潮   D.暴雨

8.图示区域内风向较大的是(   )

A.东北部   B.东部 

C.南部    D.西北部

9.图中如果存在着降水现象,则可能是(   )

   A.①③ B.②③ C.①④ D.②④

试题详情


同步练习册答案