0  286509  286517  286523  286527  286533  286535  286539  286545  286547  286553  286559  286563  286565  286569  286575  286577  286583  286587  286589  286593  286595  286599  286601  286603  286604  286605  286607  286608  286609  286611  286613  286617  286619  286623  286625  286629  286635  286637  286643  286647  286649  286653  286659  286665  286667  286673  286677  286679  286685  286689  286695  286703  447090 

5、(15分)2007年我国科学家率先完成了家蚕基因组精细图谱的绘制,将13000多个基因定位于家蚕染色体DNA上,请回答以下有关家蚕遗传变异的问题:

⑴在家蚕的基因工程实验中,分离基因的做法包括用      对DNA进行切割,然后将DNA片段与    结合成重组DNA,并将重组DNA转入大肠杆菌进行扩增等。

⑵家蚕的体细胞共有56条染色体,对家蚕基因组进行分析(参照人类基因组计划要求),应测定家蚕  条双链DNA分子的核苷酸序列。

⑶决定家蚕丝心蛋白H链的基因编码区有16000个碱基对,其中有1000个碱基对的序列不编码蛋白质,该序列叫    ;剩下的序列最多能编码   个氨基酸(不考虑终止密码子),该序列叫    

⑷为了提高蚕丝的产量和品质,可以通过家蚕遗传物质改变引起变异和进一步选育来完成,这些变异的来源有                  

⑸在家蚕遗传中,黑色(B)与淡赤色(b)是有关蚁蚕(刚孵化的蚕)体色的相对性状,黄茧(D)与白茧(d)是有关茧色的相对性状,假设这两对性状自由组合,杂交后得到的数量比如下表:

 
黑蚁黄茧
黑蚁白茧
淡赤蚁黄茧
淡赤蚁白茧
组合一
9
3
3
1
组合二
0
1
0
1
组合三
3
0
1
0

①   请写出各组合中亲本可能的基因型

组合一             (2分)

组合二             (2分)

组合三             (2分)

②让组合一杂交子代中的黑蚁白茧类型自由交配,其后代中黑蚁白茧的概率是  。(2分)

试题详情

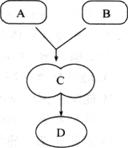
4、(9分)如图为细胞融合的简略过程,请据图回答:

(1)若A、B是植物细胞,在细胞融合之前需用______     ___  _处理,除去__    ____;融合完成的标志是_______  _   ____。形成的D细胞还要应用           技术把D培养成植株。

(2)若该过程是制备单克隆抗体,A为小鼠B淋巴细胞,那么,在获得此细胞之前,小鼠已被注射了________  __。图中B为______     ___。在A、B到C的过程中所形成的C有________种(只考虑两个原生质体的相互融合),用来培养的D细胞应该是_____   _   ___。从中选择出它的方法是________        ___培养。

试题详情

3、(6分)藏报春的叶片有绿色、白色、花斑三种类型,属于细胞质遗传;花色由一对核基因Rr、控制,基因型RR为红色、Rr为粉红色、rr为白色。

 

 (1)白花、花斑叶片植株①接受花粉,红花、绿色叶片植株②提供花粉,杂交情况如图a所示。根据细胞质遗传和细胞核遗传的特点,①向③传递          ,而②向③传递             。③的叶片类型可能是                      。

(2)假设图b中④个体自交,后代出现绿色叶片植株⑤:花斑叶片植株⑥:白色叶片植株⑦的比例是       ,这是因为细胞质遗传物质的分离具有      的特点;后代出现红花、花斑叶片植株:白花、花斑叶片植株的比例是    

试题详情

2、(20分)如图1表示某植物光合作用强度与光照强度的关系,图2表示A、B、C三类植物在夏季晴朗的一天中气孔的开放情况。请据图分析并回答:

 

(1)图1中B点表示____  __             ___,此时参与生理活动完成的主要细胞器是_____        ____;处于A点时,植物进行的生理活动是___   ______。

(2)光照强度为a时,不同温度下C02吸收量不同,其原因是_ ________________________________________________________________________________。

(3)图2中B类植物中午时分的光合速率    (填"上升”或“下降”),原因是  _________________________________________________________________________ 

(4)图2中生活在极度干旱环境中的植物种类是__________________。

(5)通过上述分析,在温室栽培中可以采取的增产措施有:(至少三条)

  ①                       

                      

                       

 

 

试题详情

1、(10分)为探究血糖调节的影响因素,设计如下实验流程。实验中5只家兔的注射剂量和生理指标匀按单位体重计算。据图回答:

 

⑴实验中起对照作用的是    号家兔。

⑵二次注射后,与⑤号家兔相比,若④号家兔产生尿素的量增加,原因是         

          

⑶二次注射后,低血糖症状最先得到缓解的是   号家兔;若②号家兔出现糖尿,则该兔的尿量将会   ,原因是                       

         

试题详情

35、下列哪-项属于克隆     (  )

A.将鸡的某个DNA片段整合到小鼠的DNA分子中     

B.将抗药菌的某基因引入草履虫的细胞内

C.将鼠骨髓瘤细胞与经过免疫的脾细胞融合成杂交瘤细胞 

D.将某肿瘤细胞在体外培养繁殖成一个细胞系

贵阳二中2009-2010学年度第一学期高三11月月考生物试题

第Ⅰ卷

答题卡(每小题2分,共70分)

1
2
3
4
5
6
7
8
9
10
11
12
13
14
15
 
 
 
 
 
 
 
 
 
 
 
 
 
 
 
16
17
18
19
20
21
22
23
24
25
26
27
28
29
30
 
 
 
 
 
 
 
 
 
 
 
 
 
 
 
31
32
33
34
35
 
 
 
 
 
 
 
 
 
 
 
 
 
 
 
 
 
 
 
 
 
 
 
 
 

                   第Ⅱ卷

试题详情

34、下列何种技术能有效地打破物种的界限,定向地改造生物的遗传性状,培育新的农作物优良品种 (  )

A.基因工程技术   B.诱变育种技术   C.杂交育种技术    D.组织培养技术

试题详情

33、为获得纯合高蔓抗病番茄植株,采用了下图所示的方法图中两对相对性状独立遗传。据图分析,不正确的是(  )

A、过程①的自交代数越多,纯合高蔓抗病植株的比例超高

B、过程②可以取任一植株的适宜花药作培养材料

C、过程③包括脱分化和再分化两个过程

D、图中筛选过程不改变抗病基因频率

试题详情

32、以下说法正确的是(   )

 A.酶合成的调节和酶活性的调节不能同时存在

 B.诱导酶一旦产生,其活性将一直保持下去

  C.与酶的合成调节相比,酶活性的调节是一种快速、精细的调节方式

 D.次级代谢产物是微生物生长繁殖必需的

试题详情

31、动物细胞工程技术的基础是 (  )    A.动物细胞融合  B.单克隆抗体   C.胚胎移植   D.动物细胞培养

试题详情


同步练习册答案