0  288064  288072  288078  288082  288088  288090  288094  288100  288102  288108  288114  288118  288120  288124  288130  288132  288138  288142  288144  288148  288150  288154  288156  288158  288159  288160  288162  288163  288164  288166  288168  288172  288174  288178  288180  288184  288190  288192  288198  288202  288204  288208  288214  288220  288222  288228  288232  288234  288240  288244  288250  288258  447090 

24.This is 0ne of the most beautiful pictures of scenery that       displayed there.

   A.are      B.is       C.has been D.have been

试题详情

23.I can’t recommend the all-star blockbuster “Jian Guo Da Ye”       strongly

     A.too      B.very     C. so   D.quite

试题详情

22.It was silly      the mistake.which is rather difficult to      .

     A.of him to make,admit      B.for him to make, be admitted

     C.for him to make,admit D.of him to make, be admitted

试题详情

第一节:单项填空(共15小题;每小题1分。满分15分)

   从A、B、C、D四个选项中,选出可以填入空白处的最佳选项,并在答题卷上将该项填出。

21.Fireworks were seen over Tian’ anmen Square in downtown Beijing to     the 60th birthday of the People’s Republic of China on the night of Oct.1st

     A.congratulate      B.celebrate     C.praise for     D.cheer up

试题详情

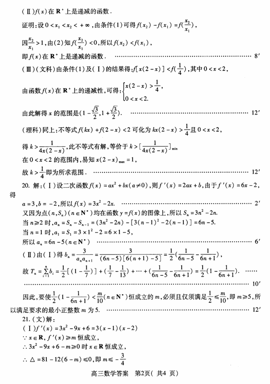
22. (本小题满分12分)

    已知函数

    (I)数列满足,求数列的通项公式;

    (II)数列满足:,若对任意的恒成立,试求的取值范围;

    (III)数列满足:,记为数列的前项和,为数列的前项积。

    (文)比较的大小

    (理)证明:

试题详情

21. (本小题满分12分)

    (文)设函数

    (I)对于任意实数恒成立,求实数的最大值;

    (II)若方程有且仅有一个实根,求实数的取值范围;

    (理)已知函数

    (I)当时,求在区间上的最大值和最小值;

    (II)在区间上,若恒成立,求的取值范围。

试题详情

20. (本小题满分12分)

    已知二次函数的图象经过坐标原点,其导函数为,数列的前项和为,点均在函数的图像上。

    (I)求数列的通项公式;

    (II)设是数列的前项和,求使得对所有都成立的最小正整数

试题详情

19. (本小题满分12分)

    设函数是定义在上的函数,并且满足下面三个条件:(1)对正数都有(2)当时,;(3)

    (I)求的值;

    (II)判断函数的单调性,并证明。

    (III)(文)如果不等式成立,求的取值范围。

     (理)如果存在正数,使不等式有解,求正数的取值范围。

试题详情


同步练习册答案