0  298106  298114  298120  298124  298130  298132  298136  298142  298144  298150  298156  298160  298162  298166  298172  298174  298180  298184  298186  298190  298192  298196  298198  298200  298201  298202  298204  298205  298206  298208  298210  298214  298216  298220  298222  298226  298232  298234  298240  298244  298246  298250  298256  298262  298264  298270  298274  298276  298282  298286  298292  298300  447090 

65. I don’t like my hair________  (直的),  so I’m having it curled.

试题详情

64.That pilot travels all over the world but London is his__________(基地).

试题详情

63. He thought I had known the fact . But _________  (事实上), I knew nothing about it.

试题详情

62. Don’t always stay at home. You’d better go ___________ (户外)for fun.

试题详情

在横线上写出空缺处各单词的正确形式。(每空只能写一个单词)

61. Don’t scold him.  After all , he is only a _________ (十几岁的青少年).

试题详情

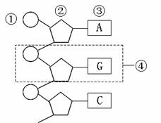
34.(5分,每空1分)据图回答下列有关核酸的问题:

(1)图中①代表的是     ,②代表的是       ,③是代表的是        

(2)若图为脱氧核苷酸链,则④代表的是       

(3)若图为核糖核苷酸链,则④代表的是       

座号
 

郑州市第47中学2010-2011学年上期第一次月考试题

试题详情

33.(16分,每空2分)请根据下列化合物的结构式分析回答:

(1)该化合物由   个氨基酸失去    个水分子形成的,这种反应叫做      

(2)该化合物由    种氨基酸组成,它们的R基序号依次是        

(3)该化合物中有     个肽键,序号是     ,此化合物的名称为    

试题详情

32.(14分,每空2分)请根据图示回答下列问题:

(1)判断甲、乙两图中属于原核细胞的是______,属于真核细胞的是______。判断的主要依据为______________________________________________。

(2)甲、乙两细胞相似之处为______________________________,不同之处为____________________________。

(3)常见的由甲种细胞构成的生物有__________________,由乙种细胞构成的生物有_________________。

试题详情

31.(5分,每空1分)辨析下面所叙述的几种生命系统,①一个乳酸菌;②培养皿中的乳酸菌菌落;③培养基被污染后,除了乳酸菌外,又滋生了真菌以及大肠杆菌等其他细菌;④培养皿中的所有成分。回答下列问题:

(1)①属于生命系统结构层次的_____________层次,又是_____________层次。

(2)②③④各属于生命系统的哪项结构层次?

②____________________;③____________________;④_____________________

试题详情

30.碳元素是组成生物体的基本元素,这是因为碳元素在生物体中(  )

A.所含的能量最多     B.最容易被吸收利用

C.所起的作用最大     D.构成有机物的骨架

郑州市第47中学2010-2011学年上期第一次月考试题

高一年级 生 物

第Ⅱ卷(非选择题,共40分)

试题详情


同步练习册答案