0  311911  311919  311925  311929  311935  311937  311941  311947  311949  311955  311961  311965  311967  311971  311977  311979  311985  311989  311991  311995  311997  312001  312003  312005  312006  312007  312009  312010  312011  312013  312015  312019  312021  312025  312027  312031  312037  312039  312045  312049  312051  312055  312061  312067  312069  312075  312079  312081  312087  312091  312097  312105  447090 

61. What does the world “vital” in paragraph 7 mean?

  A. important      B. necessary     C. possible    D. particular

试题详情

60. What makes you feel sleepy or awake?

A.    The light-sensitive protein in the retina

B.    One of the 10 scientific breakthroughs

C.    Body clock

D.   Changes according to different situations

试题详情

59. Which of the following is not true according to the passage?

A.    Shanghai World Expo 2010 is the one that is held every five years.

B.    Shanghai World Expo 2010 is the first one that will take place in the developing country.

C.    Shanghai World Expo 2010 is called the Olympic pageant of the field of economy, science, technology and culture.

D.   Shanghai World Expo 2010 is a successful, splendid and memorable pageant.

B

WHAT makes you sleepy every night at 10 o'clock and awake at 8 o'clock the next morning? It's your "body clock". It controls your nightly (每夜的) habits. It makes you feel sleepy and at other times awake. But what controls your body clock? What changes it according to different situations?

US scientists found that a light-sensitive protein (蛋白质) in the retina (视网膜) is important in setting the "body clock" in animals. On December 20, the finding of this protein was listed as one of the 10 scientific breakthroughs of year 2002 by the famous magazine Science.

Most blind people don't respond (反应) to changes in the length of day. This led scientists to study that special protein in the retina.

Scientists studied mice that had been created to lack the gene (基因) for this protein. They found that, compared with normal mice, these animals showed less of a response to changes in light - their body clocks did not "reset" (重新调整) as often as those of normal mice did.

"The clock is not getting all of the light information because the retina lacks the protein, and the body clock 'sees' less light," Dr. Norman F. Ruby, one of the scientists, explained. 

When people have a work shift changes or travel across time zones, scientists wanted to understand how the body "resets" its clock.

Now this finding confirms (证实) that this protein plays a vital role in making the body clock adapt (调节) to the outside world.

With the growing understanding of how the body sets its clock, some scientists hope to use this to make better drugs and treatment for particular sleep disorders like insomnia (失眠).

Besides governing the sleep-wake cycle, the body clock plays a central role in hormone (激素) production, blood pressure and body temperature. Body clock disturbances (紊乱) can cause health results, from stomach upset and ulcers (溃疡) to heart disease.

试题详情

58. The underlined world “respectively” in paragraph 3 means ______.

A.    altogether  B. separately  C. independently  D. lonely

试题详情

57. What do you understand the speech by Li Lanqing, Vice premier of the State Council?

A.    He promised to carry forward the conception of the World Expo.

B.    He encouraged the Bureau of International Expositions to choose Shanghai to hold the exhibition.

C.    He promoted the wide contacts and cooperation of various countries.

D.   He confirmed Shanghai World Expo a successful, splendid and memorable pageant.

试题详情

56. When do you know Shanghai applied to host the World Expo 2010?

A. 1999    B. 2000    C. 2002     D. 2010

试题详情

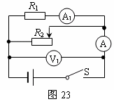
30.在如图23所示的电路中,R2为0-50Ω的变阻器,合上开关

后,V的示数为6V,A表的示数为2A,A1的示数为0.5A,求:(1)电阻R1的阻值;(2)变阻器R2连入电路部分的阻值;(3)如果A表的量程为0-3A,A1表的量程为0-0.6A,为了不使电表损坏,变阻器连入电路的阻值应在什么范围内?

试题详情

29. 如图22所示,电源电压不变,R1=5Ω,R2=10Ω,当S1

S2均断开时,V的示数为6V,A的示数为0.2A,求(1)电阻R3的阻值和电源电压;(2)当S1、S2均闭合时,电流表和电压表的示数。

试题详情

28.李芳同学在做电学实验时,发现滑动变阻器有四个接线柱,她猜想:能不能利用这四个接线柱,连接出不同电路,获得不同的作用效果。为了验证这个猜想,她取了12V的电源、阻值范围0∽48Ω的滑动变阻器、“12V  6W”的小灯泡、开关各一个和导线若干,连接出如图21甲、乙两种不同电路。请你帮她分析解决下面的问题(设电源电压不变,灯的电阻不变)

(1)甲图中小灯泡两端电压的变化范围;

(2)乙图中小灯泡两端电压的变化范围;

(3)在甲乙两种电路中,滑动变阻器的作用

效果有何不同?

试题详情

27.物理课后,小南和小雄想探究“西红柿电池的电压大小与哪些因素有关”。于是他们将一块铜片和一块锌片插入西红柿,做成了一个“西红柿电池”。小雄说:“电压大小可能与两金属片之间的距离有关”;小南想了想说:“电压大小也可能与两金属片插入西红柿中的深度有关。”为了验证猜想是否正确,他们找来了电压表,连成了如图20所示的电路。

(1)请选择其中一个猜想,提出验证的方法。

(2)若将废旧电池随手丢弃或混入生活垃圾中一起填埋,其中的有害物质会渗透到土壤,污染地下水,继而进入鱼类、农作物中,影响人类的健康。请你说出废旧电池中的某一有害物质:         

(3)目前人们乱丢废旧电池的现象非常普遍。请你针对这点給有关部门提出一条合理化建议。

试题详情


同步练习册答案